兴城市2023-2025年第二批脱贫成果巩固与乡村振兴项目入库公示明细表.xls
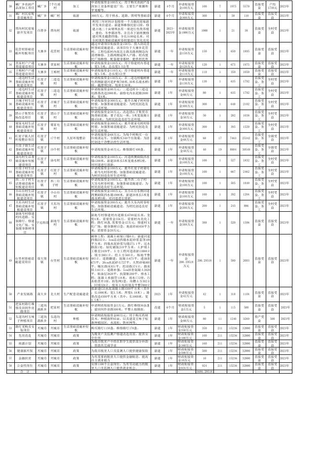
兴城市2023-2025年第二批脱贫成果巩固与乡村振兴项目入库公示明细表 项目基本情况 序号 项目名称 实施地 点(乡 镇) 项目类型(种植、养 殖、加工、旅游、 实施地 设施农业、生活基 项目概况(包括资金来源、用途。采购类 点(村 础设施补短板、生 注明采购品种、数量;资产类注明资产机 ) 产配套设施建设、 器台数、厂房平数、资产归属等) 人居环境整治、其 他) 建设性 质(新 、改、 扩建) 建设周 申请资金额 资金规模和 受益村 期(协 度(申请衔 筹资方式( 数(个 议合作 接资金)万 万元) ) 周期) 元 北村河沟屯加工厂旁建设漫水桥,北村城 生活基础设施补短 里屯、河沟屯、南村吴怀屯、岭西屯沿河 板 道治理,建设护坡,河道清淤。 新建 6个月 花园村包含23条巷道全长6500延长米,宽4 米。总投资300万元向上级申请300万元 改建 2个月 改建 2个月 1 觉华岛生活基 菊花街 础设施补短板 道 项目建设 南村、 北村 2 花园村人居环 古城街 境综合治理 道 花园村 人居环境整治 3 北半道子村人 古城街 居环境综合治 道 理 北半道 子村 人居环境整治 4 东八里村人居 古城街 环境综合治理 道 东八里 村 5 韩家村人居环 古城街 境综合治理 道 6 灰山村红薯种 元台子乡 灰山村 植项目 7 新型温室大棚 药王乡 附属设施建设 谷屯村 设施农业 8 孙家村串子沟 生产配套设施 郭家镇 建设项目 孙家村 生活基础设施补短 板 9 2023年小型漫 郭家镇 水桥项目 孙家村 张沈村 郭家村 生活基础设施补短 板 10 2023年村屯排 水治理系统建 郭家镇 设项目 孙家村 张沈村 郭家村 生活基础设施补短 板 11 2023年河堤治 郭家镇 理建设项目 孙家村 张沈村 郭家村 生活基础设施补短 板 12 棋盘猪场附属 郭家镇 设施建设项目 棋盘村 生产配套设施建设 13 2024年小型漫 郭家镇 水桥项目 大石村 棋盘村 生活基础设施补短 板 14 2024年村屯排 水治理系统建 郭家镇 设项目 大石村 棋盘村 陈家村 生活基础设施补短 板 15 2024年河堤治 郭家镇 理建设项目 大石村 棋盘村 陈家村 16 太平村大型恒 围屏乡 温仓储库项目 太平村 17 18 19 20 21 22 23 24 25 26 27 28 29 围屏乡新建路 围屏乡 灯 受益村和群众情况 韩家村 北边村 、团瓢 村、太 平村、 陈粮村 、往户 村、围 屏村、 云台寺 往户村 村、茶 家 围屏村 往户村肉牛养 围屏乡 殖项目 围屏村金银花 围屏乡 栽种项目 太平村修建排 围屏乡 太平村 水沟渠项目 团瓢村修建河 东河流护坡石 围屏乡 团瓢村 坝项目 茶家村肉牛饲 围屏乡 茶家 养项目 北边村修建河 流护坡堤坝项 围屏乡 北边村 目 陈粮村恒温库 围屏乡 陈粮村 房项目 往户村向阳湖 围屏乡 往户村 旅游项目 团瓢村修建市 场排水沟渠项 围屏乡 团瓢村 目 北边村暖棚项 围屏乡 北边村 目 陈粮村酱菜加 围屏乡 陈粮村 工厂项目 往户村花生加 围屏乡 往户村 工厂建设项目 总投资213 万,申请衔 接资金213 万 总投资300 万元,向上 级申请衔接 资金300万 总投资300 元 万元,向上 级申请衔接 资金300万 元 受益户 (户) 预计受益情况 群众参 与和带 贫减贫 脱贫户 机制(直 及监测 受益人 接受益 户预计 口(人 、入股 户均受 ) 分红、 益(元 ) 资产受 益、务 工等) 计划实 施年度 213 1 1050 3336 全村受 益 直接受 2023年 益 300 1 465 1650 全村受 益 直接受 2023年 益 300 1 165 366 全村受 益 直接受 2023年 益 2个月 总投资300 万元,向上 级申请衔接 资金300万 元 300 1 490 1678 全村受 益 直接受 2023年 益 改建 2个月 总投资300 万元,向上 级申请衔接 资金300万 元 300 1 390 1050 全村受 益 直接受 2023年 益 新建 1年 申请衔接资 金14万元 14 1 277 596 资产受 72元/户 2023年 益 新建 1 申请衔接资 金100万元 140 1 131 342 资产受 益 新建 半年 申请衔接资 金300万元 300 1 364 798 直接受 益 直接受 2023年 益 新建 半年 申请衔接资 金190万元 190 3 949 2190 直接受 益 直接受 2023年 益 新建 半年 申请衔接资 金35万元 35 3 949 2190 直接受 益 直接受 2023年 益 新建 半年 申请衔接资 金600万元 600 3 949 2190 直接受 益 直接受 2023年 益 新建 半年 申请衔接资 金100万元 100 1 342 830 直接受 益 直接受 2023年 益 新建 半年 申请衔接资 金120万元 120 2 676 1628 直接受 益 直接受 2024年 益 新建 半年 申请衔接资 金270万元 270 3 836 2016 直接受 益 直接受 2024年 益 生活基础设施补短 拟在大石村、棋盘村、陈家村进行河道治 板 理工程,预计总长度3000米。 新建 半年 申请衔接资 金525万元 525 3 836 2016 直接受 益 直接受 2024年 益 生产配套设施建设 该项目与民委整合资金共建配套项目600平 方米恒温库1个,还需申请衔接资金42万。 新建 1年 申请衔接资 金42万元 82 1 41 66 直接受 益 直接受 2023年 益 生活基础设施补短 板 北边村新建路灯110盏、团瓢村新建路灯 100盏、太平村新建路灯102盏、陈粮村新 建150盏路灯、往户村新建100盏路灯、围 屏村新建150盏路灯、云台寺村30盏路灯、 茶家村40盏路灯 新建 1年 申请衔接资 金36万元 36 8 779 2025 直接受益 直接受益 2023年 新建 1年 150 1 62 126 直接受益 直接受益 2023年 新建 1年 100 1 91 105 直接受益 直接受益 2023年 新建 1年 154 1 41 66 直接受益 直接受益 2024年 生活基础设施补短 申请衔接资金60万,用于修建高3米,总长 板 度1000米的河流护坡石坝 新建 1年 申请衔接资 金60万元 60 1 108 188 直接受益 直接受益 2024年 养殖 申请衔接资金300万,用于建设厂房5000平 方米,购买肉牛100头。 新建 1年 申请衔接资 金300万元 300 1 87 183 直接受益 生活基础设施补短 板 申请衔接资金20万,用于偏坡修护坡,长 500米,宽2米 新建 1年 申请衔接资 金20万元 20 1 517 1517 直接受益 直接受益 2024年 新建 1年 120 1 47 64 直接受益 新建 1年 200 1 62 126 直接受益 直接受益 2024年 新建 1年 50 1 108 188 直接受益 直接受益 2025年 新建 1年 300 1 92 167 务工 3000 2025年 新建 1年 150 1 47 64 直接受益 800 2025年 新建 1年 150 1 62 126 直接受益 直接受益 2025年 人居环境整治 人居环境整治 种植 1、包括治理河道一段1400米长、20米宽, 铺设200mm砼道路。 2 、修建漫水桥70米等,均位于半道子村境 内。 3 1、于家屯河道清淤810米(包含已建完河 、道路400米、宽5米 道580米),建两岸护堤230米。 2、铺设柏油路2275平方米、铺设彩色方砖 3000平方米。 3、文化广场新建凉亭一座、彩绘文化墙 3000平方米、复古墙750米。 4、道路绿化1200米 5、文化广场地面翻建1200平方米 6、砼路面翻建900平方米 7、垃圾转运设备及其他 1、为改善村民生活条件,对河道清淤1950 米(包含已建完河道308米),建两岸护堤 700米。 2、铺设柏油路2400平米、铺设彩色方砖 3000平米。 3、新建凉亭二座、彩绘文化墙500平米。 4、垛口墙616米。 总投资300 万元向上级申请300万元 项目计划以村集体名义流转土地40亩,种 植烟薯25号蜜薯品种。具体内容是村集体 以土地和种苗入股,种植大户以种植技术 、劳动力入股。村集体合作社负责提供土 地资源40亩、烟薯25号种苗180000棵;合 作的种植大户负责日常的种植、维护、施 肥(含肥料购买)、收割、包装制作等工 计划建设温室大棚5个,保鲜库1座,防风 作。 房1座,看护房及仓库各1个,增加脱贫户 和边缘易致贫户的收入 拟在孙家村串子沟屯进行生活基础设施建 设,进行河沟治理,道路修建,路灯铺设 等。 为方便百姓出行及道路安全,拟在张沈村 转头山南河修建漫水桥1座、孙家村汉沟修 建漫水桥3座,郭家村赵屯分别修建漫水桥 2座,共计修建小型漫水桥6座。 为解决村屯内雨季排水问题,拟在孙家村 串子沟屯修建100米排水沟,张沈村张屯、 虎头山屯分别修建30米、50米排水沟,郭 家村李良峪屯修建150米排水沟,共计修建 排水沟330米。 拟在郭家村程屯至郭家街面道口、孙家村 孔沟至孙屯(建兴高速交叉处),张沈村 村部东侧河沟进行河道治理工程,预计总 在棋盘村杨屯生猪养殖场进行附属设施建 长度2500米。 设:30米桥梁一座,修建道路1500米,护 坡100米,预计总投资100万元 为方便百姓出行及道路安全,拟在大石村 虎头山屯、马屯、郭屯分别修建长25米、 40米、20米的漫水桥3座、棋盘村盘岭屯、 邓屯、榆树沟屯、杨屯分别修建长10米、 15米、8米、10米的漫水桥4座,共计修建 小型漫水桥7座。 为解决村屯内雨季排水问题,拟在棋盘村 盘岭屯修建500米长排水沟,陈家村高屯、 三合屯分别修建修建400米、150米排水沟 ,大石村刘屯修建1500米排水沟,共计修 建排水沟2550米。 在围屏乡往户村建设占地6000平方米的肉 牛养殖场一座,申请项目资金150万 围屏村租用耕地50亩,栽种金银花30000株 种植 。申请项目资金100万。 生活基础设施补短 申请衔接资金154万,用于修建总长度2566 板 米的排水沟渠 养殖 申请衔接资金120万,用于建冷库一座,占 地面积1000平方米。 在围屏乡往户村向阳湖周边建设停车场一 旅游 座,民宿8间,钓台40个,申请项目资金 200万。 生活基础设施补短 申请衔接资金50万,用于修建市场排水沟 板 渠宽2米,高1.5米,总长500米 生产配套设施建设 设施农业 加工 加工 申请衔接资金300万,用于建设暖棚20座, 长100米宽12米。占地面积30亩 申请衔接资金150万,用于建厂房一座,占 地面积1000平方米 建设花生厂一座,申请资金150万 改建 申请衔接资 金150万元 申请衔接资 金100万元 申请衔接资 金154万元 申请衔接资 金120万元 申请衔接资 金200万元 申请衔接资 金50万元 申请衔接资 金300万元 申请衔接资 金150万元 申请衔接资 金150万元 610 1000 500 2023年 2024年 2024年 申请衔接资金100万元,用于购买农副产品 深加工设备和建设厂房,主要生产果脯和 苹果醋等。 30 碱厂乡农副产 7个行政 碱厂乡 品深加工项目 村 加工 新建 4个月 申请衔接资 金100万元 100 7 1975 5570 直接受 益 户均 2023年 1730元 31 碱厂村民宿配 碱厂乡 套设施项目 旅游申请资金300万元,用于排水、道路、照明等基础设施建设。 新建 6个月 申请衔接资 金300万元 300 1 50 110 直接受 益 直接受 2023年 益 新建 2023- 申请衔接资 2025年 金1000万元 1000 1 21 38 直接受 益 全村受 2023年 益 新建 一年 申请衔接资 金150万元 150 1 650 1895 直接受 益 直接受 2023年 益 新建 一年 120 1 675 1975 新建 一年 直接受 益 直接受 益 直接受 益、务 工 直接受 益、务 工 直接受 益、务 工 直接受 益、务 工 直接受 益、务 工 直接受 益、务 工 直接受 益、务 工 直接受 益、务 工 直接受 益、务 工 直接受 益、务 工 直接受 益、务 工 直接受 益、务 工 直接受 2023年 益 直接受 2023年 益 碱厂村 32 塔沟村民宿旅 白塔乡 游开发项目 塔沟村 旅游 33 花营村基础设 施补短板项目 大寨乡 花营村 生活基础设施补短 板 大寨乡 贲家村 大寨乡 王相村 红崖子 镇 二道边 村 生活基础设施补短 板 红崖子 镇 二道边 村 生活基础设施补短 板 红崖子 镇 古城子 村 生活基础设施补短 板 34 35 36 37 38 贲家村户户通 巷道建设项目 王相村户户通 巷道建设项目 二道边村生活 基础设施补短 板建设项目 二道边村生活 基础设施补短 板建设项目 古城子村生活 基础设施补短 板建设项目 生活基础设施补短 板 生活基础设施补短 板 1792 新建 1年 申请衔接资 金300万元 300 1 648 2102 新建 1年 申请衔接资 金50万元 50 1 282 1038 新建 1年 申请衔接资 金300万元 300 1 395 1520 新建 1年 申请衔接资 金68万元 68 17 7463 25342 新建 1年 申请衔接资 金40万元 40 19 8884 30549 新建 1年 申请衔接资 金100万元 100 1 527 1832 新建 1年 申请衔接资 金100万元 100 1 667 2462 新建 1年 申请衔接资 金100万元 100 1 505 1840 新建 1年 申请衔接资 金100万元 100 1 392 1204 新建 1年 申请衔接资 金200万元 200 1 243 886 新建 一年 申请衔接资 金388万元 388 1 520 1506 直接受 益 直接受 2023年 益 新建 一年 申请衔接资 金 200.29518 万元 200.29518 1 580 2003 直接受 益 直接受 2023年 益 2023 1年 申请衔接资 金42万元 42 1 318 1104 直接受 益 直接受 2023年 益 生活基础设施补短 申请财政衔接资金5万元、路灯维修30余盏 板 ;建田间作业路500米,平整土地路面。 改建 6个月 财政衔接资 金5万元 5 1 115 588 直接受 益 直接受 益 2023年 申请财政衔接资金80万元。用于购买药材 苗木,种植面积65亩,以及建设五味子标 准种植园区,水泥柱,铁丝网等。 新建 1年 财政衔接资 金80万元 80 11 1240 3269 资产受 益 500 2023年 新建 1年 350 211 15236 32000 新建 1年 100 211 15236 32000 新建 1年 160 211 15236 32000 新建 1年 500 211 15236 32000 新建 1年 10 211 15236 32000 新建 1年 924 211 15236 32000 直接受 益 直接受 益 直接受 益 直接受 益 直接受 益 直接受 益 直接受 益 直接受 益 直接受 益 直接受 益 直接受 益 直接受 益 41 红崖子镇人居 环境整治项目 17个村 人居环境整治 49 台里村基础设 施建设项目 徐大堡 镇 台里村 50 产业发展路 南大乡 北大村 51 把家村路灯维 三道沟 修及田间作业 满族乡 路项目 把家村 52 头道沟村五味 三道沟 子种植项目 满族乡 头道沟 村 53 路灯采购及安 兴城市 装项目 兴城市 54 危房改造 兴城市 兴城市 55 雨露计划 兴城市 兴城市 56 健康振兴保 兴城市 兴城市 生活基础设施补短 申请衔接资金40万元,维修路灯400盏。 板 申请衔接资金100万元,河道两侧砌筑挡水 生活基础设施补短 墙1200米,新建20米长5米宽漫水桥2座, 板 对河道进行清淤。 申请衔接资金100万元,提升红崖子村谢屯 生活基础设施补短 、前马屯村容村貌,加强基础设施建设, 板 为村民创造良好生活环境。 申请衔接资金100万元,提升西二台子村 生活基础设施补短 大吴屯村容村貌,加强基础设施建设,为 板 村民创造良好生活环境。 申请衔接资金100万元,吴小山台东侧河道 生活基础设施补短 两侧砌筑挡水墙1000米,新建20米长5米宽 板 漫水桥3座,对河道进行清淤。 申请衔接资金200万元,提升大东沟村容村 生活基础设施补短 貌,加强基础设施建设,为村民创造良好 板 生活环境。 新地号村修建村内道路长6788延长米,宽 度4米,需要资金356万。需要村内亮化工 生活基础设施补短 程,路灯30盏,需要资金12万元。修建村文 板 化广场,健身器材15套,地面彩砖850平方 米,需要资金20万元。 砌体工程:混凝土砖垛口墙8立,新建河道 挡墙232立,3cm活动挡墙水泥砂浆盖顶109 平方米,挡墙水泥砂浆勾缝273.1平,过水 路面1处。绿化铺装210平方米。土护坡土 工格室2439平。土方工程河道清淤13888立 ,填方2601立,挖土方560立,场地平整 生活基础设施补短 483立。道路翻建:混凝土675平,透油面 板 675平,20cm水泥碎石727平,天然砂砾805 平,碾压路床831平,挖旧路374立,路肩 培土63立。道路补强:5cm沥青混凝土2620 平,粘油层2620平,抗裂贴200平。排水工 程:混凝土承插管118米,雨水口2座,污 水检查井3座,防坠网3套,沟槽土方392立 ,回填328立。废弃土坑回填及平整7000立 。 拟新建C25水泥混凝土路3500平方米(其中 :长1000米,宽3.5米,厚度0.18米);路 生产配套设施建设 基改造4500平方米(其中:长1000米,宽 4.5米)。 种植 生活基础设施补短 购买路灯1130盏,维修路灯170盏。 板 为脱贫户及监测户修建改造房屋,提供安 政策 全住所 为我市脱贫户中的在职学生提供部分补助 政策 ,资助其完成学业 政策 57 金融扶贫 兴城市 兴城市 政策 58 公益性岗位 兴城市 兴城市 政策 合 计 1792 635 生活基础设施补短 板 48 635 1 梁家屯 村 47 1 80 梁家屯村生活 红崖子 基础设施补短 镇 板建设项目 46 130 申请衔接资 金80万元 40 45 1050 1年 生活基础设施补短 板 44 350 新建 团山子 村 43 1 1年 红崖子 镇 红崖子镇生活 红崖子 19个村 基础设施补短 镇 板建设项目 汤屯村生活基 红崖子 汤屯村 础设施补短板 镇 建设项目 红崖子村生活 红崖子 红崖子 基础设施补短 镇 村 板建设项目 西二台子村生 红崖子 西二台 活基础设施补 镇 子村 短板建设项目 小山台村生活 红崖子 小山台 基础设施补短 镇 村 板建设项目 大东沟村生活 红崖子 大东沟 基础设施补短 镇 村 板建设项目 新地号村修建 村内道路、安 新地号 装路灯、修建 宁远街道 村 文化广场、安 装健身器材项 目 110 新建 团山子集贸市 场改造项目 42 申请衔接资 金120万元 申请衔接资 金110万元 申请衔接资 金130万元 39 红崖子 镇 利用三年时间计划投资一千万搞民宿旅游 开发项目建设。新建和维修民宿12座,修 建占地二十亩塘坝水库一座进行鱼类养殖 、垂钓,冬季溜冰等,并且在下游两侧修 建河坝及截潜挡墙,全长3100延长米。对 全村现有基础设施村容村貌进行美化亮化 通过申请项目衔接资金150万,投入到花营 达到旅游示范村标准。 村基础设施建设。该项目位于大寨乡花营 村,工程包括村内南北主路及路两侧边沟 清理维修、主路两侧延伸入户路、村内便 民广场维修、配备健身器材,提供村民休 闲场地等 申请衔接资金120万元,用于修建村内巷道 ,宽3.5米,总长度3.5公里 申请衔接资金110万元,用于修建村内巷道 ,宽3.5米,总长度3公里 申请衔接资金130万元,在二道边村榆树林 屯西侧新建河道护坡700米,30米长漫水桥1 座,截潜坝2座,每座长30米。 申请衔接资金80万元,二道边村小三道边 屯路基改造2000米,新修屯内水泥路2000 米,宽4米。 申请衔接资金300万元,提升古城子村村容 村貌,加强基础设施建设,为村民创造良 好生活环境。 申请衔接资金50万元,改造团山子集贸市 场基础设施,妻子花坛一座,5米宽混凝土 路450米,为村民创造良好生活环境。 申请衔接资金300万元,提升梁家屯村村容 村貌,加强基础设施建设,为村民创造良 好生活环境。 申请衔接资金68万元,为每个村购买一台 垃圾清运车,全镇购买340个垃圾箱,为居 民创造干净整洁的生活环境。 为我市脱贫人口及监测人口提供健康保险 为有需要的脱贫人口提供金融贴息,提高 自主就业能力 安排1100个公益岗位,为有劳动能力的脱 贫人口及监测人口提供就业机会。 财政衔接资 金350万元 财政衔接资 金100万元 财政衔接资 金160万元 财政衔接资 金500万元 财政衔接资 金10万元 财政衔接资 金924万元 11686.29518 全村受 2023年 益 全村受 2023年 益 全村受 2023年 益 全村受 2023年 益 全村受 2023年 益 全镇受 2023年 益 全镇受 2023年 益 全村受 2023年 益 全村受 2023年 益 全村受 2023年 益 全村受 2023年 益 全村受 2023年 益 2023年 2023年 2023年 2023年 2023年 2023年

兴城市2023-2025年第二批脱贫成果巩固与乡村振兴项目入库公示明细表.xls
