关于2019年秋季学期“雨露计划”职业教育补助人员名单的公示-辛集市人民政府.xls
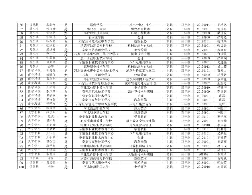
2019年秋季学期“雨露计划“职业教育补助人员名单公示 序号 乡(镇) 学生姓名 性别 1 2 3 4 5 6 7 8 9 10 11 12 13 14 15 16 17 18 19 20 21 22 23 24 25 26 27 28 29 30 和睦井乡 和睦井乡 和睦井乡 和睦井乡 新城镇 新城镇 新城镇 新城镇 新城镇 新城镇 乔梦莎 焦博宇 张宇娇 薛桥 张世谋 张修宁 谢泽坤 谢祎伦 张畅 贾展博 中里厢乡 中里厢乡 中里厢乡 辛集镇 辛集镇 辛集镇 辛集镇 辛集镇 辛集镇 田家庄乡 田家庄乡 田家庄乡 田家庄乡 田家庄乡 田家庄乡 新垒头镇 新垒头镇 新垒头镇 新垒头镇 新垒头镇 董优优 王艳 周常盛 薛心怡 李仲林 李伯森 马晓曼 息翔 李尚泽 权昂 张振远 谷雪菲 王琰 王雪 周宏宇 张棕炎 曹思雅 王梦元 冯楚函 赵润康 院校名称 专业 河北交通职业技术学院 城市轨道交通运营管理 石家庄路翔铁路中等专业学校 铁道运输管理 石家庄文化传媒学校 服装设计与工艺 石家庄邮电职业技术学院 会计 石家庄科技职业学院 铁道交通运营管理 晋州市职业技术教育中心 计算机应用 江苏经贸职业技术学院 财务管理 辛集市高级技工学校 电子商务 河北工业职业技术学院 会计 辛集市职业技术教育中心 果蔬花卉生产技术 辛集市艺术职业学校 美术绘画 女 江苏经贸职业技术学院 国际贸易实务 男 石家庄铁道职业技术学院 测绘地理信息 辛集市职业技术教育中心 服装设计与工艺 女 辛集市职业技术教育中心 汽车运用与维修 男 辛集市职业技术教育中心 畜牧兽医 男 辛集市职业技术教育中心 学前教育 女 河北工业职业技术学院 国际商务(跨境电子商务) 女 男 中国人民解放军通用装备职业技术学校 电子技术应用 唐山学院 软件与信息服务 男 江苏建筑职业技术学院 计算机网络技术 男 电子技术应用 女 中国人民解放军通用装备职业技术学校 邢台职业技术学院 服装设计与工艺 女 石家庄科技信息职业学院 会计 女 河北化工医药职业技术学院 电子商务技术 男 河北政法职业学院 司法助理 男 石家庄市明泽职业中专学校 航空服务 女 天津铁道职业技术学院 铁道工程技术 男 邢台医学高等专科学校 口腔医学 女 河北工业职业技术学院 机械制造与自动化 男 女 女 女 女 男 女 男 男 女 男 男 学校性质 学制 入学时间 户主姓名 高职 中职 中职 高职 高职 中职 高职 中职 高职 中职 中职 高职 高职 中职 中职 中职 中职 高职 中职 高职 高职 中职 高职 高职 高职 高职 中职 高职 高职 高职 三年制 三年制 三年制 三年制 三年制 三年制 三年制 三年制 三年制 三年制 三年制 三年制 三年制 三年制 三年制 三年制 三年制 三年制 三年制 三年制 三年制 三年制 三年制 三年制 三年制 三年制 三年制 三年制 三年制 三年制 20190906 20180101 20180901 20170910 20170910 20190901 20180908 20190908 20170910 20190901 20170101 201709 201909 20180101 20180101 20180101 20190901 20170910 201703 20170903 20170910 20170901 20190908 20190919 20170907 20190905 20190101 20170916 20180901 20190907 吕蕊 焦二柱 张铁树 韩香红 张克 张明水 谢兰何 谢四群 张亮 贾进贞 冀果 张傲 周常盛 薛心怡 李根谦 李根谦 马玉学 息翔 李玉华 权二铭 张振远 谷亚 王彦军 王惠林 周海秋 张信川 曹思文 王志坚 王怀成 赵信民 31 32 33 34 35 36 37 38 39 40 41 42 43 44 45 46 47 48 49 50 51 52 53 54 55 56 57 58 59 60 61 62 63 64 65 张古庄镇 张古庄镇 前营乡 前营乡 前营乡 前营乡 前营乡 前营乡 前营乡 前营乡 王口镇 王口镇 王口镇 王口镇 王口镇 王口镇 王口镇 王口镇 王口镇 王口镇 王口镇 王口镇 王口镇 王口镇 王口镇 王口镇 小辛庄乡 小辛庄乡 经济开发区 经济开发区 经济开发区 经济开发区 旧城镇 旧城镇 旧城镇 郝晓君 赵若冰 赵志昂 姚晨晨 蔡琛 杨贝贝 王煦 刁辰宇 张子恒 马赛欣 李子博 田微 田栋泽 苏泽瑞 马广 刘珊杉 崔竞赛 崔竞莎 张玉红 姜俊 张方圆 李默 田彬辰 黄梦竹 申浩然 邓品 王德 冀春柳 赵智聪 秦辛嫒 穆静洁 刘曜齐 王美 张梦娣 王继生 女 女 男 男 女 女 女 男 男 女 男 女 男 男 男 女 女 女 女 男 女 女 男 女 男 女 男 女 女 女 女 男 女 女 男 河北工艺美术职业学院 广告设计与制作 石家庄人民医学高等专科学校 护理 秦皇岛职业技术学院 数控技术 长春工程学院 数字媒体应用技术 辛集市职业技术教育中心 服装设计与工艺 石家庄信息工程职业学院 畜牧兽医 河北工业职业技术学院 电子商务 石家庄文化传媒学校 动漫游戏 河北建筑工程学院 供热通风与空调工程技术 辛集市艺术职业学校 美术绘画 承德石油高等专科学校 汽车检测与维修技术 沧州医学高等专科学校 针灸推拿 石家庄工程技术学校 机电技术应用 辛集市艺术职业学校 美术绘画 承德石油高等专科学校 软件技术(中韩合作办学) 唐山学院 商务英语 石家庄技师学院 幼儿教育 石家庄军兴信息工程中等专业学校 计算机网络技术 唐山学院 商务英语 河北化工医药职业技术学院 药学 辛集市职业技术教育中心 学前教育 辛集市职业技术教育中心 计算机应用 辛集市职业技术教育中心 服装设计与工艺 沧州医学高等专科学校 心理咨询 河北工业职业技术学院 数控技术 辛集市高级技工学校 护理 石家庄工程职业学院 软件技术 石家庄工程技术学校 计算机应用 河北商贸学校 市场营销 辛集市职业技术教育中心 旅游服务与管理 辛集市职业技术教育中心 学前教育 石家庄市北方汽车职业培训学校 汽修 衡水职业技术学院 会计 石家庄市职业技术教育中心 学前教育 唐山师范学院 小学教育 高职 高职 高职 高职 中职 高职 高职 中职 高职 中职 高职 高职 中职 中职 高职 高职 高职 中职 高职 高职 中职 中职 中职 高职 高职 中职 高职 中职 中职 中职 中职 中职 高职 中职 高职 三年制 三年制 三年制 三年制 三年制 三年制 三年制 三年制 三年制 三年制 三年制 三年制 五年制 三年制 三年制 三年制 三年制 三年制 三年制 三年制 三年制 三年制 三年制 三年制 三年制 三年制 三年制 三年制 三年制 三年制 三年制 五年制 三年制 三年制 二年制 20170907 20180901 20180908 20180901 20180901 20180901 20170910 20180901 20170901 20190901 20190901 20170908 20190101 20190901 20170901 20170903 20190901 20170901 20170903 20180904 20180901 20180901 20190101 20190901 20180910 20190901 20180901 20170101 20180905 20190829 20190830 20190901 20190905 20190901 20190901 郝延硕 王领弟 赵登攀 姚苏苏 蔡超 杨秀忙 王调 甄会玲 张建兵 马会考 李会勉 石玉凤 石玉凤 苏奎祥 温志坤 刘仁 崔怀中 崔怀中 刘仁 姜岭 张二峰 常秀丽 田树奇 张淼 申少颖 邓孟其 王顺涛 冀建锁 邢秀丽 贾响 秦冉 贺小红 王娃 王敬分 王培恩 66 67 68 69 70 71 72 73 74 75 76 77 78 79 80 81 82 83 84 85 86 87 88 89 90 91 92 93 94 95 96 97 98 99 100 旧城镇 马庄乡 马庄乡 马庄乡 马庄乡 马庄乡 马庄乡 马庄乡 马庄乡 马庄乡 马庄乡 南智邱镇 南智邱镇 南智邱镇 南智邱镇 南智邱镇 南智邱镇 南智邱镇 南智邱镇 南智邱镇 天宫营乡 天宫营乡 天宫营乡 天宫营乡 天宫营乡 天宫营乡 天宫营乡 天宫营乡 天宫营乡 天宫营乡 天宫营乡 天宫营乡 位伯镇 位伯镇 位伯镇 王继命 何东晗 梁佳霓 张咏莲 杨冬晓 张少岩 魏洪恩 台一丁 张翠娴 尚梦奥 孙宇 石笑炎 雒腾飞 王东旭 王云卓 任松帅 李灿灿 曹梦楠 曹诗磊 聂学可 林秀珊 林佳乐 王柔 田陈陈 王梦晗 王勤勤 王泽让 王亭亭 田金宝 冯予祺 吴润蕊 李鸿浩 谢富 谢思佳 刘畅 男 男 女 女 女 男 男 男 女 男 男 男 女 男 女 男 女 女 男 女 女 女 女 男 女 男 男 女 男 男 女 男 男 女 男 邯郸学院 华北理工大学 邢台职业技术学院 石家庄学院 石家庄科苑职业中专学校 承德石油高等专科学校 辛集市艺术职业学校 石家庄市东华铁路中等专业学校 唐山工业职业技术学院 辛集市职业技术教育中心 廊坊职业技术学院 河北交通电视中等专业技术学校 石家庄工商职业学院 邢台职业技术学院 石家庄科技信息职业学院 河北工业职业技术学院 石家庄职业技术学院 曹妃甸职业技术学院 辛集市高级技工学校 石家庄华能电力中等专业学校 河北政法职业学院 河北城乡建设学校 辛集市职业技术教育中心 石家庄市机械技工学校 河北工业职业技术学院 辛集市职业技术教育中心 辛集市职业技术教育中心 辛集市职业技术教育中心 辛集市高级技工学校 河北建材职业技术学院 辛集市职业技术教育中心 河北软件职业技术学院 承德石油高等专科学校 辛集市艺术职业学校 河北地质职工大学 机电一体化技术 黑色冶金技术 环境工程技术 会计 航空服务 机械制造与自动化 美术绘画 机电技术应用 会计 汽车运用与维修 机械制造与自动化 道路与桥梁工程施工 物流管理 建筑钢结构工程技术 城市轨道交通运营管理 电子商务 云计算技术与应用 护理 汽车维修 火电厂集控运行 应用英语 建筑装饰 学前教育 机电设备安装与维修 药品经营与管理 学前教育 汽车运用与维修 会计 汽车维修 计算机网络技术 计算机应用 大数据技术与应用 数控技术 美术绘画 电子商务 高职 高职 高职 高职 中职 高职 中职 中职 高职 中职 高职 中职 高职 高职 高职 高职 高职 高职 中职 中职 高职 中职 中职 中职 高职 中职 中职 中职 中职 高职 中职 高职 高职 中职 高职 三年制 三年制 三年制 三年制 三年制 三年制 三年制 三年制 三年制 三年制 三年制 三年制 三年制 三年制 三年制 三年制 三年制 三年制 三年制 三年制 三年制 五年制 三年制 三年制 三年制 三年制 三年制 三年制 三年制 三年制 三年制 三年制 三年制 三年制 三年制 20190914 20180901 20180908 20170906 20170101 20150901 20170901 20180501 20170909 20190901 20170913 20190101 20180902 20190908 20180907 20170910 20170909 20190901 20190901 20180901 20180901 20170901 20190101 20170901 20180910 20190101 20180101 20170101 20190901 20180907 20190101 201909 20170901 20180901 20170916 王培恩 何建海 梁进发 张树然 杨瑞华 张灵音 魏喜来 台建慈 张翠娴 尚进强 吴大芬 石元山 杨月娇 蔡翠花 王兰芳 任建增 李国起 曹昌 曹昌 聂辉 林盼宁 林盼宁 罗艳梅 田玉峰 李夫各 闫胜芬 吴新爱 王建茶 田满圈 冯占成 吴奇树 李鸿浩 谢艳锁 韩会英 刘国底 101 102 103 104 105 106 107 108 109 110 111 112 113 114 115 位伯镇 位伯镇 位伯镇 位伯镇 位伯镇 位伯镇 位伯镇 位伯镇 位伯镇 位伯镇 位伯镇 位伯镇 位伯镇 位伯镇 位伯镇 刘欢 孟紫薇 贾子腾 曹欢 张子硕 陈龙奥 陈明慧 杨雅迪 史嘉 李泰诺 韩美丽 孟笑宇 赵予晗 赵杨宇 田意拳 男 男 男 女 女 男 女 女 女 男 女 女 男 男 男 河北地质职工大学 辛集市职业技术教育中心 石家庄太行科技中等专业学校 石家庄学院 辛集市艺术职业学校 河北轨道运输职业技术学院 河北省新华冶金技工学校 石家庄铁路职业技工学校 河北劳动关系职业学院 辛集市职业技术教育中心 石家庄信息工程职业学院 辛集市职业技术教育中心 河北交通职业技术学院 河北交通职业技术学院 石家庄工程技术学校 电子商务 会计 汽车运用与维修 语文教育 美术绘画 铁道机械化维修技术 幼儿教育 铁路客运服务 建筑室内设计 机械加工技术 会计 果蔬花卉生产技术 城市轨道交通运营管理 电子信息工程技术 会计 高职 中职 中职 高职 中职 高职 中职 中职 高职 中职 高职 中职 高职 高职 高职 三年制 三年制 三年制 三年制 三年制 三年制 三年制 三年制 三年制 三年制 三年制 三年制 二年制 三年制 五年制 20170916 20170101 20180701 20170901 20190101 20190924 20190909 20190901 20180901 20190101 20170901 20190829 20190906 20180912 20160801 刘国底 王印灵 田江领 曹进军 徐运雪 陈书庄 陈大马 马运芝 史表辉 李德平 韩娃 孟喜海 赵淼 赵国庆 刘巧 学生与户 补贴额度 主关系 1500 祖孙 1500 祖孙 1500 祖孙 1500 母女 1500 父子 1500 父女 1500 祖孙 1500 祖孙 1500 父女 1500 祖孙 1500 祖孙 兄妹 祖孙 本人 祖孙 祖孙 父女 本人 父子 父子 本人 父女 父女 祖孙 父子 父子 姐妹 父子 父女 祖孙 1500 1500 1500 1500 1500 1500 1500 1500 1500 1500 1500 1500 1500 1500 1500 1500 1500 1500 1500 父女 祖孙 父子 母子 父女 祖孙 父女 母子 父子 父女 母子 祖孙 祖孙 父子 母子 父女 父女 父女 父女 父子 父女 母女 祖孙 母女 父子 祖孙 祖孙 祖孙 母女 祖孙 母女 祖孙 祖孙 祖孙 叔侄 1500 1500 1500 1500 1500 1500 1500 1500 1500 1500 1500 1500 1500 1500 1500 1500 1500 1500 1500 1500 1500 1500 1500 1500 1500 1500 1500 1500 1500 1500 1500 1500 1500 1500 1500 叔侄 父子 祖孙 父女 祖孙 母子 父子 祖孙 本人 祖孙 母子 祖孙 母女 祖孙 母女 父子 祖孙 父女 父子 父女 父女 父子 母女 祖孙 祖孙 母女 母子 父女 父子 祖孙 祖孙 母子 父子 祖孙 父子 1500 1500 1500 1500 1500 1500 1500 1500 1500 1500 1500 1500 1500 1500 1500 1500 1500 1500 1500 1500 1500 1500 1500 1500 1500 1500 1500 1500 1500 1500 1500 1500 1500 1500 1500 父子 母子 祖孙 父女 祖孙 祖孙 父女 祖孙 父女 母子 父女 祖孙 母子 父子 母子 1500 1500 1500 1500 1500 1500 1500 1500 1500 1500 1500 1500 1500 1500 1500

关于2019年秋季学期“雨露计划”职业教育补助人员名单的公示-辛集市人民政府.xls




