秦岭文库(kunmingchi.com)你想要的内容这里独有!

陆良县2022年职业技能提升培训合格人员公示名册(第六批).xlsx

Bigbang!亚洲骄傲!6 页 23.128 KB下载文档
陆良县2022年职业技能提升培训合格人员公示名册(第六批).xlsx陆良县2022年职业技能提升培训合格人员公示名册(第六批).xlsx陆良县2022年职业技能提升培训合格人员公示名册(第六批).xlsx陆良县2022年职业技能提升培训合格人员公示名册(第六批).xlsx陆良县2022年职业技能提升培训合格人员公示名册(第六批).xlsx陆良县2022年职业技能提升培训合格人员公示名册(第六批).xlsx
当前文档共6页 下载后继续阅读

陆良县2022年职业技能提升培训合格人员公示名册(第六批).xlsx

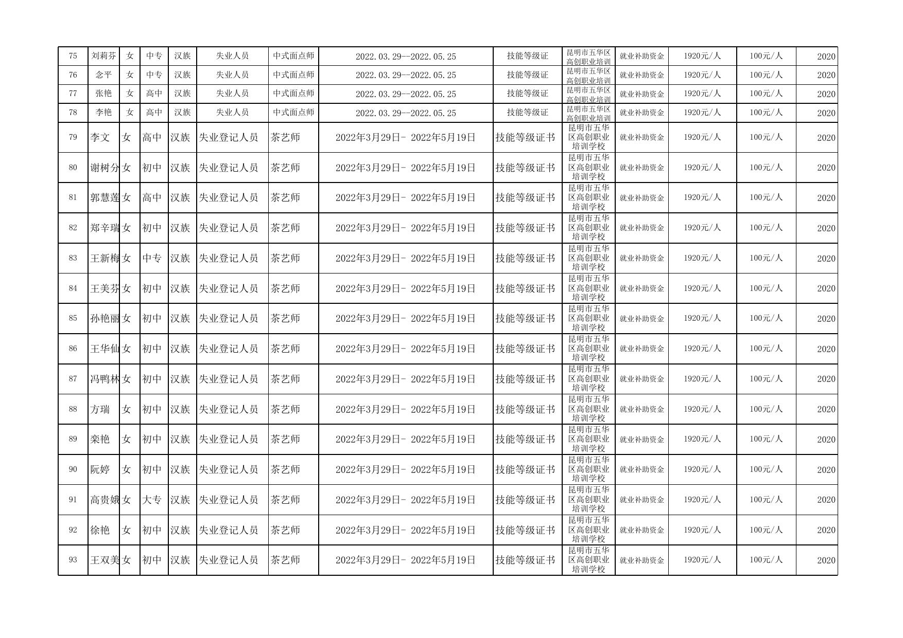
2022年曲靖市农村劳动力等重点群体职业培训(符合报账条件)学员名册 序号 姓名 性别 学历 身份类别 (必须细 分,贫困劳动力、 残疾人、退役军人 培训 民族 、失业人员、两后 项目(工种 生、就业困难人员 ) ,其他填为农村转 移劳动力) 1 陈路艳 女 中专 汉族 失业人员 2 赵乔年 女 高中 汉族 3 方叶芬 女 中专 4 杨仙 女 5 潘本玲 6 起止时间 取证类别(技能 等级证、职业资 格证、专项职业 能力、培训合格 证) 中式面点师 2022.03.29--2022.05.25 技能等级证 失业人员 中式面点师 2022.03.29--2022.05.25 技能等级证 汉族 失业人员 中式面点师 2022.03.29--2022.05.25 技能等级证 高中 汉族 失业人员 中式面点师 2022.03.29--2022.05.25 技能等级证 女 高中 汉族 失业人员 中式面点师 2022.03.29--2022.05.25 技能等级证 刘欢 女 高中 汉族 失业人员 中式面点师 2022.03.29--2022.05.25 技能等级证 7 张琴 女 高中 汉族 失业人员 中式面点师 2022.03.29--2022.05.25 技能等级证 8 杨蓉 女 高中 汉族 失业人员 中式面点师 2022.03.29--2022.05.25 技能等级证 9 张红丽 女 高中 汉族 失业人员 中式面点师 2022.03.29--2022.05.25 技能等级证 10 袁学丽 女 高中 汉族 失业人员 中式面点师 2022.03.29--2022.05.25 技能等级证 11 张瑞 女 高中 汉族 失业人员 中式面点师 2022.03.29--2022.05.25 技能等级证 12 王艳 女 高中 汉族 失业人员 中式面点师 2022.03.29--2022.05.25 技能等级证 13 孙毕玲 女 中专 汉族 失业人员 中式面点师 2022.03.29--2022.05.25 技能等级证 14 王学丽 女 高中 汉族 失业人员 中式面点师 2022.03.29--2022.05.25 技能等级证 15 杨芬 女 高中 汉族 失业人员 中式面点师 2022.03.29--2022.05.25 技能等级证 16 袁石芬 女 高中 汉族 失业人员 中式面点师 2022.03.29--2022.05.25 技能等级证 17 唐丽红 女 高中 汉族 失业人员 中式面点师 2022.03.29--2022.05.25 技能等级证 18 方玲丽 女 中专 汉族 失业人员 中式面点师 2022.03.29--2022.05.25 技能等级证 19 张丽林 女 中专 汉族 失业人员 中式面点师 2022.03.29--2022.05.25 技能等级证 20 袁章铭 女 高中 汉族 失业人员 中式面点师 2022.03.29--2022.05.25 技能等级证 培训机构名 称 昆明市五华区 高创职业培训 学校 昆明市五华区 高创职业培训 学校 昆明市五华区 高创职业培训 学校 昆明市五华区 高创职业培训 学校 昆明市五华区 高创职业培训 学校 昆明市五华区 高创职业培训 学校 昆明市五华区 高创职业培训 学校 昆明市五华区 高创职业培训 学校 昆明市五华区 高创职业培训 学校 昆明市五华区 高创职业培训 学校 昆明市五华区 高创职业培训 学校 昆明市五华区 高创职业培训 学校 昆明市五华区 高创职业培训 学校 昆明市五华区 高创职业培训 学校 昆明市五华区 高创职业培训 学校 昆明市五华区 高创职业培训 学校 昆明市五华区 高创职业培训 学校 昆明市五华区 高创职业培训 学校 昆明市五华区 高创职业培训 学校 昆明市五华区 高创职业培训 学校 资金类型 培训补贴标准 鉴定补贴标 金额合 (元) 准(元) 计(元) 就业补助资金 1920元/人 100元/人 2020 就业补助资金 1920元/人 100元/人 2020 就业补助资金 1920元/人 100元/人 2020 就业补助资金 1920元/人 100元/人 2020 就业补助资金 1920元/人 100元/人 2020 就业补助资金 1920元/人 100元/人 2020 就业补助资金 1920元/人 100元/人 2020 就业补助资金 1920元/人 100元/人 2020 就业补助资金 1920元/人 100元/人 2020 就业补助资金 1920元/人 100元/人 2020 就业补助资金 1920元/人 100元/人 2020 就业补助资金 1920元/人 100元/人 2020 就业补助资金 1920元/人 100元/人 2020 就业补助资金 1920元/人 100元/人 2020 就业补助资金 1920元/人 100元/人 2020 就业补助资金 1920元/人 100元/人 2020 就业补助资金 1920元/人 100元/人 2020 就业补助资金 1920元/人 100元/人 2020 就业补助资金 1920元/人 100元/人 2020 就业补助资金 1920元/人 100元/人 2020 21 潘秋霞 女 中专 汉族 失业人员 中式面点师 2022.03.29--2022.05.25 技能等级证 22 刘关柱 女 中专 汉族 失业人员 中式面点师 2022.03.29--2022.05.25 技能等级证 23 刘华芬 女 高中 汉族 失业人员 中式面点师 2022.03.29--2022.05.25 技能等级证 24 段芳艳 女 高中 汉族 失业人员 中式面点师 2022.03.29--2022.05.25 技能等级证 25 张文婷 女 高中 汉族 失业人员 中式面点师 2022.03.29--2022.05.25 技能等级证 26 李彩萍 女 高中 汉族 失业人员 中式面点师 2022.03.29--2022.05.25 技能等级证 27 侯梅芬 女 中专 汉族 失业人员 中式面点师 2022.03.29--2022.05.25 技能等级证 28 苏买香 女 中专 彝族 失业人员 中式面点师 2022.03.29--2022.05.25 技能等级证 29 秦春燕 女 中专 汉族 失业人员 中式面点师 2022.03.29--2022.05.25 技能等级证 30 陈树美 女 中专 汉族 失业人员 中式面点师 2022.03.29--2022.05.25 技能等级证 31 金霞 女 中专 汉族 失业人员 中式面点师 2022.03.29--2022.05.25 技能等级证 32 李敏敏 女 中专 汉族 失业人员 中式面点师 2022.03.29--2022.05.25 技能等级证 33 罗青 女 中专 汉族 失业人员 中式面点师 2022.03.29--2022.05.25 技能等级证 34 杨如仙 女 高中 汉族 失业人员 中式面点师 2022.03.29--2022.05.25 技能等级证 35 徐英 女 中专 汉族 失业人员 中式面点师 2022.03.29--2022.05.25 技能等级证 36 徐朝豫 男 中专 汉族 失业人员 中式面点师 2022.03.29--2022.05.25 技能等级证 37 姜平 女 中专 汉族 失业人员 中式面点师 2022.03.29--2022.05.25 技能等级证 38 严永美 女 中专 汉族 失业人员 中式面点师 2022.03.29--2022.05.25 技能等级证 39 张春萍 女 中专 汉族 失业人员 中式面点师 2022.03.29--2022.05.25 技能等级证 40 李官桃 女 高中 汉族 失业人员 中式面点师 2022.03.29--2022.05.25 技能等级证 41 俞路林 女 高中 汉族 失业人员 中式面点师 2022.03.29--2022.05.25 技能等级证 42 陈娇 女 中专 汉族 失业人员 中式面点师 2022.03.29--2022.05.25 技能等级证 43 张红仙 女 高中 汉族 失业人员 中式面点师 2022.03.29--2022.05.25 技能等级证 44 王路芬 女 中专 汉族 失业人员 中式面点师 2022.03.29--2022.05.25 技能等级证 45 刘黄飞 女 高中 汉族 失业人员 中式面点师 2022.03.29--2022.05.25 技能等级证 46 皇甫路琼 女 高中 汉族 失业人员 中式面点师 2022.03.29--2022.05.25 技能等级证 昆明市五华区 高创职业培训 学校 昆明市五华区 高创职业培训 学校 昆明市五华区 高创职业培训 学校 昆明市五华区 高创职业培训 学校 昆明市五华区 高创职业培训 学校 昆明市五华区 高创职业培训 学校 昆明市五华区 高创职业培训 学校 昆明市五华区 高创职业培训 学校 昆明市五华区 高创职业培训 学校 昆明市五华区 高创职业培训 学校 昆明市五华区 高创职业培训 学校 昆明市五华区 高创职业培训 学校 昆明市五华区 高创职业培训 学校 昆明市五华区 高创职业培训 学校 昆明市五华区 高创职业培训 学校 昆明市五华区 高创职业培训 学校 昆明市五华区 高创职业培训 学校 昆明市五华区 高创职业培训 学校 昆明市五华区 高创职业培训 学校 昆明市五华区 高创职业培训 学校 昆明市五华区 高创职业培训 学校 昆明市五华区 高创职业培训 学校 昆明市五华区 高创职业培训 学校 昆明市五华区 高创职业培训 学校 昆明市五华区 高创职业培训 学校 昆明市五华区 高创职业培训 学校 就业补助资金 1920元/人 100元/人 2020 就业补助资金 1920元/人 100元/人 2020 就业补助资金 1920元/人 100元/人 2020 就业补助资金 1920元/人 100元/人 2020 就业补助资金 1920元/人 100元/人 2020 就业补助资金 1920元/人 100元/人 2020 就业补助资金 1920元/人 100元/人 2020 就业补助资金 1920元/人 100元/人 2020 就业补助资金 1920元/人 100元/人 2020 就业补助资金 1920元/人 100元/人 2020 就业补助资金 1920元/人 100元/人 2020 就业补助资金 1920元/人 100元/人 2020 就业补助资金 1920元/人 100元/人 2020 就业补助资金 1920元/人 100元/人 2020 就业补助资金 1920元/人 100元/人 2020 就业补助资金 1920元/人 100元/人 2020 就业补助资金 1920元/人 100元/人 2020 就业补助资金 1920元/人 100元/人 2020 就业补助资金 1920元/人 100元/人 2020 就业补助资金 1920元/人 100元/人 2020 就业补助资金 1920元/人 100元/人 2020 就业补助资金 1920元/人 100元/人 2020 就业补助资金 1920元/人 100元/人 2020 就业补助资金 1920元/人 100元/人 2020 就业补助资金 1920元/人 100元/人 2020 就业补助资金 1920元/人 100元/人 2020 47 余春丽 女 高中 汉族 失业人员 中式面点师 2022.03.29--2022.05.25 技能等级证 48 马卓宁 女 中专 汉族 失业人员 中式面点师 2022.03.29--2022.05.25 技能等级证 49 太文凤 女 高中 汉族 失业人员 中式面点师 2022.03.29--2022.05.25 技能等级证 50 张丽娟 女 高中 汉族 失业人员 中式面点师 2022.03.29--2022.05.25 技能等级证 51 郭兰芬 女 高中 彝族 失业人员 中式面点师 2022.03.29--2022.05.25 技能等级证 52 高丽 女 中专 汉族 失业人员 中式面点师 2022.03.29--2022.05.25 技能等级证 53 孙玉婷 女 高中 汉族 失业人员 中式面点师 2022.03.29--2022.05.25 技能等级证 54 张权 男 中专 汉族 失业人员 中式面点师 2022.03.29--2022.05.25 技能等级证 55 张玉清 女 高中 汉族 失业人员 中式面点师 2022.03.29--2022.05.25 技能等级证 56 太林霞 女 高中 汉族 失业人员 中式面点师 2022.03.29--2022.05.25 技能等级证 57 高娅敏 女 高中 汉族 失业人员 中式面点师 2022.03.29--2022.05.25 技能等级证 58 王艳 女 高中 汉族 失业人员 中式面点师 2022.03.29--2022.05.25 技能等级证 59 李娇 女 中专 汉族 失业人员 中式面点师 2022.03.29--2022.05.25 技能等级证 60 蒋艳 女 中专 汉族 失业人员 中式面点师 2022.03.29--2022.05.25 技能等级证 61 高林琼 女 中专 汉族 失业人员 中式面点师 2022.03.29--2022.05.25 技能等级证 62 杨红艳 女 中专 汉族 失业人员 中式面点师 2022.03.29--2022.05.25 技能等级证 63 邵美丽 女 高中 汉族 失业人员 中式面点师 2022.03.29--2022.05.25 技能等级证 64 杨斌 男 高中 汉族 失业人员 中式面点师 2022.03.29--2022.05.25 技能等级证 65 张陆坤 男 高中 汉族 失业人员 中式面点师 2022.03.29--2022.05.25 技能等级证 66 高丽 女 中专 汉族 失业人员 中式面点师 2022.03.29--2022.05.25 技能等级证 67 李琼仙 女 中专 汉族 失业人员 中式面点师 2022.03.29--2022.05.25 技能等级证 68 王谷关 女 中专 汉族 失业人员 中式面点师 2022.03.29--2022.05.25 技能等级证 69 李祁英 女 中专 汉族 失业人员 中式面点师 2022.03.29--2022.05.25 技能等级证 70 孟苹娥 女 中专 汉族 失业人员 中式面点师 2022.03.29--2022.05.25 技能等级证 71 王小连 女 中专 汉族 失业人员 中式面点师 2022.03.29--2022.05.25 技能等级证 72 陈乔芝 女 高中 汉族 失业人员 中式面点师 2022.03.29--2022.05.25 技能等级证 73 计丽霞 女 中专 汉族 失业人员 中式面点师 2022.03.29--2022.05.25 技能等级证 74 潘学丽 女 中专 汉族 失业人员 中式面点师 2022.03.29--2022.05.25 技能等级证 昆明市五华区 高创职业培训 学校 昆明市五华区 高创职业培训 学校 昆明市五华区 高创职业培训 昆明市五华区 学校 高创职业培训 昆明市五华区 学校 高创职业培训 昆明市五华区 学校 高创职业培训 昆明市五华区 学校 高创职业培训 昆明市五华区 学校 高创职业培训 昆明市五华区 学校 高创职业培训 昆明市五华区 学校 高创职业培训 昆明市五华区 学校 高创职业培训 昆明市五华区 学校 高创职业培训 昆明市五华区 学校 高创职业培训 昆明市五华区 学校 高创职业培训 昆明市五华区 学校 高创职业培训 昆明市五华区 学校 高创职业培训 昆明市五华区 学校 高创职业培训 昆明市五华区 学校 高创职业培训 昆明市五华区 学校 高创职业培训 昆明市五华区 学校 高创职业培训 昆明市五华区 学校 高创职业培训 昆明市五华区 学校 高创职业培训 昆明市五华区 学校 高创职业培训 昆明市五华区 学校 高创职业培训 昆明市五华区 学校 高创职业培训 昆明市五华区 学校 高创职业培训 昆明市五华区 学校 高创职业培训 昆明市五华区 学校 高创职业培训 学校 就业补助资金 1920元/人 100元/人 2020 就业补助资金 1920元/人 100元/人 2020 就业补助资金 1920元/人 100元/人 2020 就业补助资金 1920元/人 100元/人 2020 就业补助资金 1920元/人 100元/人 2020 就业补助资金 1920元/人 100元/人 2020 就业补助资金 1920元/人 100元/人 2020 就业补助资金 1920元/人 100元/人 2020 就业补助资金 1920元/人 100元/人 2020 就业补助资金 1920元/人 100元/人 2020 就业补助资金 1920元/人 100元/人 2020 就业补助资金 1920元/人 100元/人 2020 就业补助资金 1920元/人 100元/人 2020 就业补助资金 1920元/人 100元/人 2020 就业补助资金 1920元/人 100元/人 2020 就业补助资金 1920元/人 100元/人 2020 就业补助资金 1920元/人 100元/人 2020 就业补助资金 1920元/人 100元/人 2020 就业补助资金 1920元/人 100元/人 2020 就业补助资金 1920元/人 100元/人 2020 就业补助资金 1920元/人 100元/人 2020 就业补助资金 1920元/人 100元/人 2020 就业补助资金 1920元/人 100元/人 2020 就业补助资金 1920元/人 100元/人 2020 就业补助资金 1920元/人 100元/人 2020 就业补助资金 1920元/人 100元/人 2020 就业补助资金 1920元/人 100元/人 2020 就业补助资金 1920元/人 100元/人 2020 75 刘莉芬 女 中专 汉族 失业人员 中式面点师 2022.03.29--2022.05.25 技能等级证 76 念平 女 中专 汉族 失业人员 中式面点师 2022.03.29--2022.05.25 技能等级证 77 张艳 女 高中 汉族 失业人员 中式面点师 2022.03.29--2022.05.25 技能等级证 78 李艳 女 高中 汉族 失业人员 中式面点师 2022.03.29--2022.05.25 技能等级证 79 李文 女 高中 汉族 失业登记人员 茶艺师 2022年3月29日- 2022年5月19日 技能等级证书 80 谢树分 女 初中 汉族 失业登记人员 茶艺师 2022年3月29日- 2022年5月19日 技能等级证书 81 郭慧莲 女 高中 汉族 失业登记人员 茶艺师 2022年3月29日- 2022年5月19日 技能等级证书 82 郑辛瑞 女 初中 汉族 失业登记人员 茶艺师 2022年3月29日- 2022年5月19日 技能等级证书 83 王新梅 女 中专 汉族 失业登记人员 茶艺师 2022年3月29日- 2022年5月19日 技能等级证书 84 王美芬 女 初中 汉族 失业登记人员 茶艺师 2022年3月29日- 2022年5月19日 技能等级证书 85 孙艳丽 女 初中 汉族 失业登记人员 茶艺师 2022年3月29日- 2022年5月19日 技能等级证书 86 王华仙 女 初中 汉族 失业登记人员 茶艺师 2022年3月29日- 2022年5月19日 技能等级证书 87 冯鸭林 女 初中 汉族 失业登记人员 茶艺师 2022年3月29日- 2022年5月19日 技能等级证书 88 方瑞 女 初中 汉族 失业登记人员 茶艺师 2022年3月29日- 2022年5月19日 技能等级证书 89 栾艳 女 初中 汉族 失业登记人员 茶艺师 2022年3月29日- 2022年5月19日 技能等级证书 90 阮婷 女 初中 汉族 失业登记人员 茶艺师 2022年3月29日- 2022年5月19日 技能等级证书 91 高贵娥 女 大专 汉族 失业登记人员 茶艺师 2022年3月29日- 2022年5月19日 技能等级证书 92 徐艳 女 初中 汉族 失业登记人员 茶艺师 2022年3月29日- 2022年5月19日 技能等级证书 93 王双美 女 初中 汉族 失业登记人员 茶艺师 2022年3月29日- 2022年5月19日 技能等级证书 昆明市五华区 高创职业培训 昆明市五华区 学校 高创职业培训 昆明市五华区 学校 高创职业培训 昆明市五华区 学校 高创职业培训 昆明市五华 学校 区高创职业 培训学校 昆明市五华 区高创职业 培训学校 昆明市五华 区高创职业 培训学校 昆明市五华 区高创职业 培训学校 昆明市五华 区高创职业 培训学校 昆明市五华 区高创职业 培训学校 昆明市五华 区高创职业 培训学校 昆明市五华 区高创职业 培训学校 昆明市五华 区高创职业 培训学校 昆明市五华 区高创职业 培训学校 昆明市五华 区高创职业 培训学校 昆明市五华 区高创职业 培训学校 昆明市五华 区高创职业 培训学校 昆明市五华 区高创职业 培训学校 昆明市五华 区高创职业 培训学校 就业补助资金 1920元/人 100元/人 2020 就业补助资金 1920元/人 100元/人 2020 就业补助资金 1920元/人 100元/人 2020 就业补助资金 1920元/人 100元/人 2020 就业补助资金 1920元/人 100元/人 2020 就业补助资金 1920元/人 100元/人 2020 就业补助资金 1920元/人 100元/人 2020 就业补助资金 1920元/人 100元/人 2020 就业补助资金 1920元/人 100元/人 2020 就业补助资金 1920元/人 100元/人 2020 就业补助资金 1920元/人 100元/人 2020 就业补助资金 1920元/人 100元/人 2020 就业补助资金 1920元/人 100元/人 2020 就业补助资金 1920元/人 100元/人 2020 就业补助资金 1920元/人 100元/人 2020 就业补助资金 1920元/人 100元/人 2020 就业补助资金 1920元/人 100元/人 2020 就业补助资金 1920元/人 100元/人 2020 就业补助资金 1920元/人 100元/人 2020 94 孙雄飞 男 初中 汉族 失业登记人员 茶艺师 2022年3月29日- 2022年5月19日 技能等级证书 95 王红 女 中专 汉族 失业登记人员 茶艺师 2022年3月29日- 2022年5月19日 技能等级证书 96 陈娇静 女 初中 汉族 失业登记人员 茶艺师 2022年3月29日- 2022年5月19日 技能等级证书 97 陈艳玲 女 初中 汉族 失业登记人员 茶艺师 2022年3月29日- 2022年5月19日 技能等级证书 98 宋春艳 女 中专 汉族 失业登记人员 茶艺师 2022年3月29日- 2022年5月19日 技能等级证书 99 王敏 女 初中 汉族 失业登记人员 茶艺师 2022年3月29日- 2022年5月19日 技能等级证书 100 曹秀英 女 初中 汉族 失业登记人员 茶艺师 2022年3月29日- 2022年5月19日 技能等级证书 101 孙保丽 女 初中 汉族 失业登记人员 茶艺师 2022年3月29日- 2022年5月19日 技能等级证书 102 栾陆红 女 大专 汉族 失业登记人员 茶艺师 2022年3月29日- 2022年5月19日 技能等级证书 103 刘仙 女 初中 汉族 失业登记人员 茶艺师 2022年3月29日- 2022年5月19日 技能等级证书 104 杨玲 女 高中 汉族 失业登记人员 茶艺师 2022年3月29日- 2022年5月19日 技能等级证书 105 栾晶 女 初中 汉族 失业登记人员 茶艺师 2022年3月29日- 2022年5月19日 技能等级证书 106 郑良美 女 初中 汉族 失业登记人员 茶艺师 2022年3月29日- 2022年5月19日 技能等级证书 107 赵华仙 女 初中 汉族 失业登记人员 茶艺师 2022年3月29日- 2022年5月19日 技能等级证书 108 王丹 女 初中 汉族 失业登记人员 茶艺师 2022年3月29日- 2022年5月19日 技能等级证书 109 李秀林 女 初中 汉族 失业登记人员 茶艺师 2022年3月29日- 2022年5月19日 技能等级证书 110 太丽英 女 中专 汉族 失业登记人员 茶艺师 2022年3月29日- 2022年5月19日 技能等级证书 111 彭琪超 女 初中 汉族 失业登记人员 茶艺师 2022年3月29日- 2022年5月19日 技能等级证书 昆明市五华 区高创职业 培训学校 昆明市五华 区高创职业 培训学校 昆明市五华 区高创职业 培训学校 昆明市五华 区高创职业 培训学校 昆明市五华 区高创职业 培训学校 昆明市五华 区高创职业 培训学校 昆明市五华 区高创职业 培训学校 昆明市五华 区高创职业 培训学校 昆明市五华 区高创职业 培训学校 昆明市五华 区高创职业 培训学校 昆明市五华 区高创职业 培训学校 昆明市五华 区高创职业 培训学校 昆明市五华 区高创职业 培训学校 昆明市五华 区高创职业 培训学校 昆明市五华 区高创职业 培训学校 昆明市五华 区高创职业 培训学校 昆明市五华 区高创职业 培训学校 昆明市五华 区高创职业 培训学校 就业补助资金 1920元/人 100元/人 2020 就业补助资金 1920元/人 100元/人 2020 就业补助资金 1920元/人 100元/人 2020 就业补助资金 1920元/人 100元/人 2020 就业补助资金 1920元/人 100元/人 2020 就业补助资金 1920元/人 100元/人 2020 就业补助资金 1920元/人 100元/人 2020 就业补助资金 1920元/人 100元/人 2020 就业补助资金 1920元/人 100元/人 2020 就业补助资金 1920元/人 100元/人 2020 就业补助资金 1920元/人 100元/人 2020 就业补助资金 1920元/人 100元/人 2020 就业补助资金 1920元/人 100元/人 2020 就业补助资金 1920元/人 100元/人 2020 就业补助资金 1920元/人 100元/人 2020 就业补助资金 1920元/人 100元/人 2020 就业补助资金 1920元/人 100元/人 2020 就业补助资金 1920元/人 100元/人 2020 112 续飞艳 女 中专 汉族 失业登记人员 茶艺师 2022年3月29日- 2022年5月19日 技能等级证书 113 计富艳 女 初中 汉族 失业登记人员 茶艺师 2022年3月29日- 2022年5月19日 技能等级证书 114 章玲莉 女 大专 汉族 失业登记人员 茶艺师 2022年3月29日- 2022年5月19日 技能等级证书 115 张丹 女 初中 汉族 失业登记人员 茶艺师 2022年3月29日- 2022年5月19日 技能等级证书 116 孙丽林 女 初中 汉族 失业登记人员 茶艺师 2022年3月29日- 2022年5月19日 技能等级证书 昆明市五华 区高创职业 培训学校 昆明市五华 区高创职业 培训学校 昆明市五华 区高创职业 培训学校 昆明市五华 区高创职业 培训学校 昆明市五华 区高创职业 培训学校 就业补助资金 1920元/人 100元/人 2020 就业补助资金 1920元/人 100元/人 2020 就业补助资金 1920元/人 100元/人 2020 就业补助资金 1920元/人 100元/人 2020 就业补助资金 1920元/人 100元/人 2020

相关文章