秦岭文库(kunmingchi.com)你想要的内容这里独有!

2.食品监督抽检合格产品信息.xls

Feel sad 感到悲伤2 页 339.5 KB下载文档
2.食品监督抽检合格产品信息.xls2.食品监督抽检合格产品信息.xls
当前文档共2页 下载后继续阅读

2.食品监督抽检合格产品信息.xls

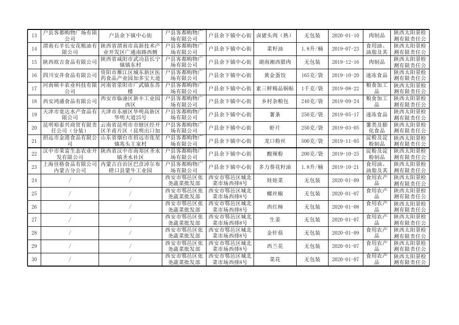
附件2 合格产品信息 本次抽检的食品主要包括淀粉及淀粉制品、糕点、粮食加工品、肉制品、食用农产品、食用油、油脂及其制品、薯类及膨化食品、速冻食品、糖果制 品等。 抽检依据:GB/T 19048-2008《地理标志产品 龙口粉丝》,GB 2760-2014《食品安全国家标准 食品添加剂使用标准》,GB 2762-2017《食品安全国家 标准 食品中污染物限量》,《国家卫生计生委关于批准β-半乳糖苷酶为食品添加剂新品种等的公告(2015年 第1号)》、GB/T 23587-2009《粉条》、 GB/T 20977-2007《糕点通则》、SB/T 10412-2007《速冻面米食品》,GB 19295-2011《食品安全国家标准 速冻面米制品》、GB 2730-2015《食品安全 国家标准 腌腊肉制品》、SB/T 10379-2012《速冻调制食品》,整顿办函〔2011〕1号《关于印发〈食品中可能违法添加的非食用物质和易滥用的食品添 加剂品种名单(第五批)〉的通知》,GB 2763-2016《食品安全国家标准 食品中农药最大残留限量》、GB/T 1536-2004《菜籽油》,GB/T 10464-2017《 葵花籽油》,SC/T 3901-2000《虾片》,SB/T 10379-2012《速冻调制食品》,SB/T 10019-2017《糖果 酥质糖果》,SB/T 10021-2017《糖果 凝胶糖果》,SB/T 10018-2017《糖果 硬质糖果》等标准及指标的要求。 抽检项目包括农药残留、兽药残留、食品添加剂等指标,共抽检30批次产品,合格30批次。 生产、购进日 序号 1 2 3 4 5 6 7 8 9 10 11 12 标称生产企业名称 标称生产企业地址 福建省泉州市晋江市食品 产业园灵坂路1号 湖南省佳美食品工业有 湖南省祁东县佳美食品工 限公司 业园 汇佳(福建)食品有限 晋江市经济开发区(五里 公司 园)荧源路 户县客都购物广场有限 户县余下镇中心街 公司 户县客都购物广场有限 户县余下镇中心街 公司 安徽玛仕达可食品有限 合肥市肥东县肥东经济开 公司 发区新安江路南侧1幢 河南省金井食品有限公 河南省汝州市临汝镇临东 司 村 安徽六花庭食品有限公 合肥市肥东经济开发区桂 司 王路西侧 合肥市肥东经济开发区桂 泰州安井食品有限公司 王路西侧 户县客都购物广场有限 户县余下镇中心街 公司 户县客都购物广场有限 户县余下镇中心街 公司 户县客都购物广场有限 户县余下镇中心街 公司 嘉士柏股份有限公司 被抽样单位名称 被抽样单位所在地 户县客都购物广 场有限公司 户县客都购物广 场有限公司 户县客都购物广 场有限公司 户县客都购物广 场有限公司 户县客都购物广 场有限公司 户县客都购物广 场有限公司 户县客都购物广 场有限公司 户县客都购物广 场有限公司 户县客都购物广 场有限公司 户县客都购物广 场有限公司 户县客都购物广 场有限公司 户县客都购物广 场有限公司 食品名称 规格型号 户县余下镇中心街 酥心糖 无包装 2019-10-14 糖果制品 户县余下镇中心街 柔情蜜语软糖 无包装 2019-09-16 糖果制品 户县余下镇中心街 话梅糖 无包装 2019-12-14 糖果制品 户县余下镇中心街 红豆切片土司 无包装 2020-01-09 糕点 户县余下镇中心街 奶油方包 无包装 2020-01-09 糕点 户县余下镇中心街 手工小纯蛋糕 无包装 2019-12-18 糕点 无包装 2019-12-19 糕点 无包装 2019-11-01 糕点 无包装 2019-10-26 肉制品 户县余下镇中心街 卤猪耳朵(熟) 无包装 2020-01-10 肉制品 户县余下镇中心街 卤牛肉(熟) 无包装 2020-01-10 肉制品 户县余下镇中心街 卤肘子(熟) 无包装 2020-01-10 肉制品 香酥饼(伍仁味 ) 兔兔爱南瓜蒸蛋 户县余下镇中心街 糕 户县余下镇中心街 户县余下镇中心街 安井散丸子 期/批号 分类 备注 陕西太阳景检 测有限责任公 司 陕西太阳景检 测有限责任公 司 陕西太阳景检 测有限责任公 司 陕西太阳景检 测有限责任公 司 陕西太阳景检 测有限责任公 司 陕西太阳景检 测有限责任公 司 陕西太阳景检 测有限责任公 司 陕西太阳景检 测有限责任公 司 陕西太阳景检 测有限责任公 司 陕西太阳景检 测有限责任公 司 陕西太阳景检 测有限责任公 司 陕西太阳景检 测有限责任公 司 13 14 15 16 17 18 19 20 21 22 23 户县客都购物广场有限 户县余下镇中心街 公司 渭南石羊长安花粮油有 陕西省渭南市高新技术产 限公司 业开发区广通南路西侧 陕西省咸阳市武功县长宁 陕西欧吉食品有限公司 镇镇东村 资阳市雁江区城东新区医 四川安井食品有限公司 药食品产业园加多宝大道 12号 河南硕丰农业科技有限 河南省荥阳市广武镇东苏 公司 楼 西安市临潼区新丰工业园 西安鸿盛食品有限公司 西区 天津市宽达水产食品有 天津市东丽区华明高新区 限公司 华明大道25号 昆明裕泰兴商贸有限责 云南省昆明市市辖区经开 任公司(分装) 区羊甫片区(昆明出口加 工区)A9-11号地块 招远市金港食品有限公 山东省烟台市招远市张星 司 镇兆头王家村 汉中市荣富生态农业开 陕西省汉中市南郑区圣水 发有限公司 镇圣水社区 上海佳格食品有限公司 内蒙古自治区巴彦淖尔布 内蒙古分公司 磴口县蒙牛工业园 24 / / 25 / / 26 / / 27 / / 28 / / 29 / / 30 / / 户县客都购物广 场有限公司 户县客都购物广 场有限公司 户县客都购物广 场有限公司 户县客都购物广 场有限公司 户县客都购物广 场有限公司 户县客都购物广 场有限公司 户县客都购物广 场有限公司 户县客都购物广 场有限公司 户县客都购物广 场有限公司 户县客都购物广 场有限公司 户县客都购物广 场有限公司 西安市鄠邑区张 尧蔬菜批发部 西安市鄠邑区张 尧蔬菜批发部 西安市鄠邑区张 尧蔬菜批发部 西安市鄠邑区张 尧蔬菜批发部 西安市鄠邑区张 尧蔬菜批发部 西安市鄠邑区张 尧蔬菜批发部 西安市鄠邑区张 尧蔬菜批发部 户县余下镇中心街 卤猪头肉(熟) 无包装 2020-01-10 户县余下镇中心街 菜籽油 1.8升/桶 2019-07-23 户县余下镇中心街 湖南湘西腊肉 无包装 2019-12-16 食用油、 油脂及其 制品 肉制品 户县余下镇中心街 黄金蛋饺 165克/袋 2019-10-20 速冻食品 户县余下镇中心街 素三鲜精品锅贴 1千克/袋 2019-08-22 户县余下镇中心街 乡村杂粮包 240克/袋 2019-09-24 户县余下镇中心街 薯条 250克/袋 2019-05-17 户县余下镇中心街 虾片 250克/袋 2019-03-05 户县余下镇中心街 龙口粉丝 500克/袋 2019-11-05 户县余下镇中心街 酸辣粉 200克/袋 2019-10-25 户县余下镇中心街 多力葵花籽油 1.8升/桶 2019-10-21 娃娃菜 无包装 2020-01-09 螺丝椒 无包装 2020-01-07 西红柿 无包装 2020-01-08 生姜 无包装 2020-01-07 金针菇 无包装 2020-01-09 西兰花 无包装 2020-01-07 菜花 无包装 2020-01-07 西安市鄠邑区城北 菜市场西排8号 西安市鄠邑区城北 菜市场西排8号 西安市鄠邑区城北 菜市场西排8号 西安市鄠邑区城北 菜市场西排8号 西安市鄠邑区城北 菜市场西排8号 西安市鄠邑区城北 菜市场西排8号 西安市鄠邑区城北 菜市场西排8号 肉制品 粮食加工 品 粮食加工 品 速冻食品 薯类及膨 化食品 淀粉及淀 粉制品 淀粉及淀 粉制品 食用油、 油脂及其 制品 食用农产 品 食用农产 品 食用农产 品 食用农产 品 食用农产 品 食用农产 品 食用农产 品 陕西太阳景检 测有限责任公 司 陕西太阳景检 测有限责任公 司 陕西太阳景检 测有限责任公 司 陕西太阳景检 测有限责任公 司 陕西太阳景检 测有限责任公 司 陕西太阳景检 测有限责任公 司 陕西太阳景检 测有限责任公 司 陕西太阳景检 测有限责任公 司 陕西太阳景检 测有限责任公 司 陕西太阳景检 测有限责任公 司 陕西太阳景检 测有限责任公 司 陕西太阳景检 测有限责任公 司 陕西太阳景检 测有限责任公 司 陕西太阳景检 测有限责任公 司 陕西太阳景检 测有限责任公 司 陕西太阳景检 测有限责任公 司 陕西太阳景检 测有限责任公 司 陕西太阳景检 测有限责任公 司

相关文章