餐饮食品及餐饮具监督抽检合格产品信息.xls
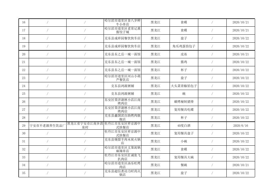
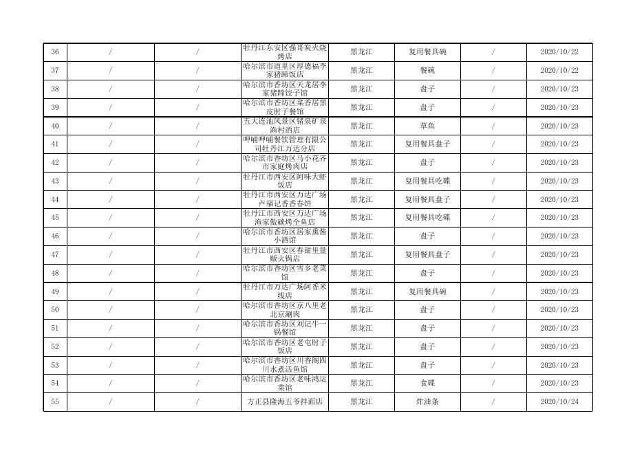
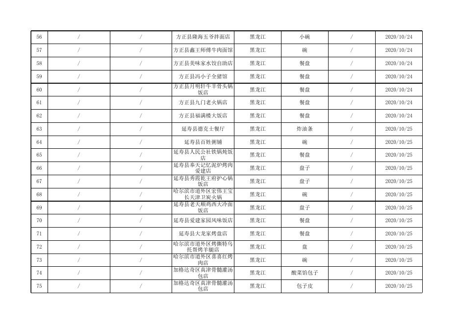
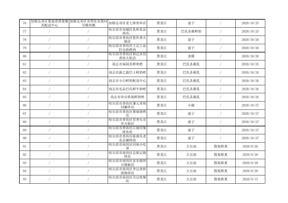
附件7 餐饮食品及餐饮具监督抽检合格产品信息 序号 标称生产企业名称 标称生产企业地址 被抽样单位名称 被抽样单位 所在省份 样品名称 规格型号 加工/抽样日期 1 / / 哈尔滨市道里区优品纯鲜 奶坊群力家园店 黑龙江 巴氏杀菌鲜牛奶 / 2020/10/18 2 / / 勃利县张玉波铁锅炖店 黑龙江 方盘 / 2020/10/21 3 / / 克东县蒲峪喜粥季早餐店 黑龙江 大头菜青椒馅包子 / 2020/10/21 4 / / 克东县蒲峪喜粥季早餐店 黑龙江 碗 / 2020/10/21 5 / / 克东县嘉百兴私房菜馆 黑龙江 小碗 / 2020/10/21 6 / / 克东县嘉和锅烙馆 黑龙江 盘子 / 2020/10/21 7 / / 克东县昌龙小酒馆 黑龙江 酱牛肉 / 2020/10/21 8 / / 克东县昌龙小酒馆 黑龙江 盘子 / 2020/10/21 9 / / 黑龙江 食碟 / 2020/10/21 10 / / 黑龙江 盘子 / 2020/10/21 11 / / 黑龙江 芝麻酱(火锅蘸料 ) / 2020/10/19 12 / / 黑龙江 小碗 / 2020/10/21 13 / / 黑龙江 散装配制酒 / 2020/8/27 14 / / 黑龙江 散装配制酒 / 2017/6/17 15 / / 黑龙江 盘子 / 2020/10/21 哈尔滨市道里区丛氏饺子 馆 克东县君成艺厨熏酱小酒 馆 克东县修然一九二柒火锅 店 克东县修然一九二柒火锅 店 哈尔滨市道里区河松如意 斋碳火锅店 哈尔滨市道里区河松如意 斋碳火锅店 哈尔滨市道里区河松如意 斋碳火锅店 16 / / 17 / / 18 / / 19 / 20 哈尔滨市道里区食八岁鲜 牛小串店 哈尔滨市道里区老常记熏 酱饺子城 黑龙江 食碟 / 2020/10/21 黑龙江 食碟 / 2020/10/21 克东县成祥园餐饮快车店 黑龙江 盘子 / 2020/10/22 / 克东县成祥园餐饮快车店 黑龙江 角瓜鸡蛋馅包子 / 2020/10/22 / / 克东县东之岳一城一面馆 黑龙江 皮冻 / 2020/10/21 21 / / 克东县东之岳一城一面馆 黑龙江 酱鸡 / 2020/10/22 22 / / 克东县东之岳一城一面馆 黑龙江 杯子 / 2020/10/22 23 / / 哈尔滨市道里区河山小葫 芦餐饮店 黑龙江 盘子 / 2020/10/22 24 / / 克东县鸿源粥铺 黑龙江 大头菜青椒馅包子 / 2020/10/22 25 / / 克东县鸿源粥铺 黑龙江 碗 / 2020/10/22 黑龙江 碳烤秘制猪排 / 2020/10/22 黑龙江 复用餐具吃碟 / 2020/10/22 黑龙江 杯子 / 2020/10/22 黑龙江 40度白酒 / 2020/6/16 黑龙江 复用餐具盘子 / 2020/10/22 黑龙江 小碗 / 2020/10/22 黑龙江 食碟 / 2020/10/22 黑龙江 复用餐具大碗 / 2020/10/22 黑龙江 餐碗 / 2020/10/21 黑龙江 盘子 / 2020/10/22 26 27 28 29 30 31 32 33 34 35 东安区荣洋湖林小店江南 烤肉店 东安区荣洋湖林小店江南 / / 烤肉店 克东县鑫国滨自助烤肉旗 / / 舰店 黑龙江省宁安市江南乡清 牡丹江市东安区祥京源中 宁安市不老源养生饮品厂 泉村 式快餐店 牡丹江市东安区祥京源中 / / 式快餐店 克东县锡盟羊肉木炭火锅 / / 店 哈尔滨市道里区文策泥锅 / / 麻辣串店 牡丹江市东安区匠诚张飞 / / 扒肉店 哈尔滨市道里区汤乐旺烤 / / 肉店 克东县超信煮动力时尚火 / / 锅店 / / 36 / / 37 / / 38 / / 39 / / 40 / / 41 / / 42 / / 43 / / 44 / / 45 / / 46 / / 47 / / 48 / / 49 / / 50 / / 51 / / 52 / / 53 / / 54 / / 55 / / 牡丹江东安区强哥炭火烧 烤店 哈尔滨市道里区厚德福李 家猪蹄饭店 哈尔滨市香坊区天龙居李 家猪蹄饺子馆 哈尔滨市香坊区菜香居黑 皮肘子餐馆 五大连池风景区锗泉矿泉 渔村酒店 呷哺呷哺餐饮管理有限公 司牡丹江万达分店 哈尔滨市香坊区马小花齐 市家庭烤肉店 牡丹江市西安区阿味大虾 饭店 牡丹江市西安区万达广场 卢福记香香春饼 牡丹江市西安区万达广场 渔家傲碳烤全鱼店 哈尔滨市香坊区居家熏酱 小酒馆 牡丹江市西安区春甜里量 贩火锅店 哈尔滨市香坊区雪乡老菜 馆 牡丹江市万达广场阿香米 线店 哈尔滨市香坊区京八里老 北京涮肉 哈尔滨市香坊区刘记牛一 锅餐馆 哈尔滨市香坊区老屯肘子 饭店 哈尔滨市香坊区川香阁四 川水煮活鱼馆 哈尔滨市香坊区老味鸿运 菜馆 方正县隆海五爷拌面店 黑龙江 复用餐具碗 / 2020/10/22 黑龙江 餐碗 / 2020/10/22 黑龙江 盘子 / 2020/10/23 黑龙江 盘子 / 2020/10/23 黑龙江 草鱼 / 2020/10/23 黑龙江 复用餐具盘子 / 2020/10/23 黑龙江 盘子 / 2020/10/23 黑龙江 复用餐具吃碟 / 2020/10/23 黑龙江 复用餐具盘子 / 2020/10/23 黑龙江 复用餐具吃碟 / 2020/10/23 黑龙江 盘子 / 2020/10/23 黑龙江 复用餐具盘子 / 2020/10/23 黑龙江 盘子 / 2020/10/23 黑龙江 复用餐具碗 / 2020/10/23 黑龙江 盘子 / 2020/10/23 黑龙江 盘子 / 2020/10/23 黑龙江 盘子 / 2020/10/23 黑龙江 盘子 / 2020/10/23 黑龙江 食碟 / 2020/10/23 黑龙江 炸油条 / 2020/10/24 56 / / 方正县隆海五爷拌面店 黑龙江 小碗 / 2020/10/24 57 / / 方正县鑫王师傅牛肉面馆 黑龙江 碗 / 2020/10/24 58 / / 方正县美味家水饺自助店 黑龙江 餐盘 / 2020/10/24 59 / / 方正县冯小子全猪馆 黑龙江 餐盘 / 2020/10/24 60 / / 方正县月明轩牛羊骨头锅 饭店 黑龙江 餐盘 / 2020/10/24 61 / / 方正县九门老火锅店 黑龙江 餐盘 / 2020/10/24 62 / / 方正县福满楼大饭店 黑龙江 餐盘 / 2020/10/24 63 / / 延寿县德克士餐厅 黑龙江 炸油条 / 2020/10/25 64 / / 延寿县百姓粥铺 黑龙江 碗 / 2020/10/25 65 / / 黑龙江 餐盘 / 2020/10/25 66 / / 黑龙江 盘子 / 2020/10/25 67 / / 黑龙江 盘子 / 2020/10/25 68 / / 黑龙江 碗 / 2020/10/25 69 / / 黑龙江 盘子 / 2020/10/25 70 / / 延寿县爱建家园风味饭店 黑龙江 餐盘 / 2020/10/25 71 / / 延寿县大龙家烤盘店 黑龙江 餐盘 / 2020/10/25 72 / / 黑龙江 盘 / 2020/10/25 73 / / 黑龙江 碗 / 2020/10/25 74 / / 黑龙江 酸菜馅包子 / 2020/10/25 75 / / 黑龙江 包子皮 / 2020/10/25 延寿县人民公社铁锅炖饭 店 延寿县奉天记忆泥炉烤肉 爱建店 延寿县秀霞乾王府护心锅 饭店 哈尔滨市道外区宏伟王宝 长天津卫炭火锅 延寿县老天顺鸡西大冷面 饭店 哈尔滨市道外区烤撕特乌 托帮烤羊腿店 哈尔滨市道外区喜喜红烤 肉店 加格达奇区真津骨髓灌汤 包店 加格达奇区真津骨髓灌汤 包店 76 77 78 79 80 加格达奇区曼迪诺消毒餐 加格达奇区光明东安苑64 加格达奇区老七排骨串店 具配送中心 号楼西侧 哈尔滨市双城区乳昕乳品 / / 商店。 哈尔滨市香坊区您作煮火 / / 锅店 哈尔滨市香坊区王记上品 / / 轩自助烤肉 哈尔滨市香坊区柏记水饺 / / 香坊大街店 黑龙江 盘子 / 2020/10/25 黑龙江 巴氏杀菌鲜奶 / 2020/10/25 黑龙江 盘子 / 2020/10/26 黑龙江 盘子 / 2020/10/26 黑龙江 食碟 / 2020/10/26 81 / / 尚志市福园里鲜奶吧 黑龙江 巴氏杀菌乳 / 2020/10/25 82 / / 尚志市露之露巴士鲜奶吧 黑龙江 巴氏杀菌乳 / 2020/10/26 83 / / 尚志市小白鲜奶配送中心 黑龙江 巴氏杀菌乳 / 2020/10/26 84 / / 尚志市乐品巴氏鲜牛奶吧 黑龙江 巴氏杀菌乳 / 2020/10/26 85 / / 尚志市欢乐牧场鲜奶吧 黑龙江 巴氏杀菌乳 / 2020/10/26 86 / / 黑龙江 小碗 / 2020/10/27 87 / / 黑龙江 盘子 / 2020/10/27 88 / / 黑龙江 盘子 / 2020/10/27 89 / / 黑龙江 盘子 / 2020/10/27 90 / / 黑龙江 盘子 / 2020/10/27 91 / / 黑龙江 大豆油 散装称重 2020/9/26 92 / / 黑龙江 大豆油 散装称重 2020/9/26 93 / / 黑龙江 大豆油 散装称重 2020/9/20 94 / / 黑龙江 大豆油 散装称重 2020/8/26 95 / / 黑龙江 大豆油 散装称重 2020/9/15 哈尔滨市香坊区谦儿哥胡 同涮串店 哈尔滨市香坊区聚福烧烤 店 哈尔滨市香坊区有奔头市 井火锅店 哈尔滨市香坊区江丽印象 斑鱼府 哈尔滨市香坊区陈曲氏老 北京涮肉馆 哈尔滨市南岗区同福小吃 部 哈尔滨市南岗区总惦记烧 饼店 哈尔滨市南岗区家乐烧饼 豆腐脑店 哈尔滨市南岗区李记香掉 渣烧饼店 哈尔滨市南岗区关记快餐 店 96 / / 宾县宾州汇客快餐店 黑龙江 大豆油 散装称重 2020/10/11 97 / / 宾县宾州立彬早餐店 黑龙江 色拉油 散装称重 2020/10/10 98 / / 宾县宾州立彬早餐店 黑龙江 大豆油 散装称重 2020/10/10 99 / / 宾县瑞轩麻花店 黑龙江 大豆油 散装称重 2020/10/12 100 / / 宾县宾州刘一凡粥铺 黑龙江 大豆油 散装称重 2020/10/11 101 / / 宾县宾州刘一凡粥铺 黑龙江 色拉油 散装称重 2020/10/11 102 / / 宾县宾州甄家砂锅油饼小 吃部 黑龙江 大豆油 散装称重 2020/10/10 103 / / 龙沙区大满贯超市 黑龙江 香油 散装称重 2020/9/26 104 / / 龙沙区大满贯超市 黑龙江 苏子油 散装称重 2020/10/11 105 / / 嫩江市心怡早点店 黑龙江 散装食用油 散装称重 2020/10/13 106 / / 黑龙江 大豆油 散装称重 2020/10/11 107 / / 黑龙江 色拉油 散装称重 2020/10/11 108 / / 嫩江市福记早餐店 黑龙江 色拉油 散装称重 2020/10/13 109 / / 嫩江县绿都鹤乡烧饼店 黑龙江 大豆油 散装称重 2020/10/14 110 / / 嫩江县绿都鹤乡烧饼店 黑龙江 色拉油 散装称重 2020/10/14 111 / / 安达市曹记小磨香油店 黑龙江 小磨香油 散装称重 2020/10/5 112 / / 黑龙江 大豆油 散装称重 2020/10/10 113 / / 黑龙江 色拉油 散装称重 2020/10/14 114 / / 黑龙江 大豆油 散装称重 2020/10/14 115 / / 黑龙江 色拉油 散装称重 2020/10/15 嫩江市绿都鹤乡烧饼富丽 嘉园店 嫩江市绿都鹤乡烧饼富丽 嘉园店 哈尔滨市呼兰区曹伟包子 铺 哈尔滨市呼兰区陈记御品 坛肉砂锅餐饮店 哈尔滨市呼兰区岳氏大众 面食店 呼兰区晓影郝大嘴麻辣烫 店 116 / / 哈尔滨市呼兰区东方红早 餐店 黑龙江 大豆油 散装称重 2020/10/15 117 / / 勃利县赵二饼店 黑龙江 大豆油 散装称重 2020/10/12 118 / / 黑龙江 色拉油 散装称重 2020/10/16 119 蓝城粮油 鸡西市鸡冠区电台路 黑龙江 大豆油 散装称重 2020/10/14 120 / / 黑龙江 油条 散装称重 2020/10/17 121 / / 黑龙江 油条 散装称重 2020/10/17 122 / / 黑龙江 大豆油 散装称重 2020/10/17 123 / / 呼兰区老八脆皮烧饼店 黑龙江 大豆油 散装称重 2020/10/14 124 / / 哈尔滨市呼兰区老石家综 合食品店 黑龙江 小磨香油 散装称重 2020/10/15 125 / / 呼兰区陈记香油麻酱铺 黑龙江 陈记香油 散装称重 2020/10/17 126 鸡西市东北铺子酿酒有限 公司 鸡东县永安镇永丰村 鸡西市鸡冠区邵胖饭店 黑龙江 咏春坊高粱烧酒 散装称重 2018/9/9 127 宜宾五粮液股份有限公司 黑龙江 浓香型白酒 散装称重 2020/3/20 黑龙江 玉米50° 散装称重 2017/2/18 黑龙江 高粮40°散装白酒 散装称重 2018/10/1 黑龙江 咏春坊高粮烧酒 散装称重 2018/9/9 黑龙江 小磨香油 散装称重 2020/10/18 黑龙江 孔记香油 散装称重 2020/10/15 黑龙江 小磨香油 散装称重 2020/10/18 128 129 130 131 132 133 鸡西市鸡冠区诚鑫馄饨面 馆 鸡西市鸡冠区张一包宸光 汤包店 鸡西市鸡冠区张一包宸光 汤包店 哈尔滨市松北区毛三羊肉 面馆 鸡西市鸡冠区泓铭刀削面 店 四川省宜宾市岷江西路 鸡西市鸡冠区彤莱彤莱德 150号 火锅店 鹤岗市东山区蔬园乡日新 鸡西市鸡冠区名都晓荷塘 鹤岗市蔬园乡龙源酒厂 村 火锅店 鹤岗市东山区蔬园乡日新 鸡西市鸡冠区名都晓荷塘 鹤岗市蔬园乡龙源酒厂 村 火锅店 鸡西市东北铺子酿酒有限 鸡西市鸡冠区久久健晟星 黑龙江省鸡东县永安镇 公司 期天火锅店 哈尔滨市南岗区人和革新 / / 市场粉粉膳食店 鹤岗市向阳区金沙湾集贸 / / 市场孔记香油加工店 鹤岗市工农区新街基农贸 / / 市场张月清香油坊 134 / / 建华区桂荣干调摊床 黑龙江 香油(芝麻油) 散装称重 2020/10/18 135 / / 双鸭山市尖山区天顺肥牛 大酒店 黑龙江 大豆油 散装称重 2020/10/12 136 137 138 139 140 141 142 双鸭山市尖山区天顺肥牛 大酒店 双鸭山市尖山区大岗天荣 / / 粥铺 黑龙江省佳木斯市富锦市 双鸭山市尖山区福顺锅中 黑龙江绿谷酒业有限公司 东郊(万达工业园区) 锅饭店 双鸭山市尖山区好运家常 / / 菜馆 齐齐哈尔市龙沙区如一和 / / 记馅饼中式快捷餐厅 龙沙区谢丹绿都鹤乡烧饼 / / 快餐店 龙沙区谢丹绿都鹤乡烧饼 / / 快餐店 / / 黑龙江 色拉油 散装称重 2020/10/18 黑龙江 油条 散装称重 2020/10/20 黑龙江 45°同城大荒缘高 粱酒 散装称重 2020/4/8 黑龙江 大豆油 散装称重 2020/10/18 黑龙江 油条 散装称重 2020/10/22 黑龙江 大豆油 散装称重 2020/10/18 黑龙江 油条 散装称重 2020/10/22 143 / / 龙沙区吃的好早餐店 黑龙江 大豆油 散装称重 2020/10/12 144 / / 龙沙区玖宜居面食店 黑龙江 大豆油 散装称重 2020/10/15 145 / / 龙沙区玖宜居面食店 黑龙江 色拉油 散装称重 2020/10/15 146 / / 龙沙区文溪快餐店 黑龙江 大豆油 散装称重 2020/10/18 147 / / 铁锋区李帅天赐福烧饼快 餐店 黑龙江 油条 散装称重 2020/10/23 148 / / 龙沙区笑颜之家粥铺 黑龙江 油条 散装称重 2020/10/23 149 / / 龙沙区敏锐绿都鹤乡烧饼 快餐店 黑龙江 大豆油 散装称重 2020/10/22 150 / / 龙沙区陈记面馆 黑龙江 色拉油 散装称重 2020/10/18 151 嫩仓酒业 水师工业园区 龙沙区笑颜之家粥铺 黑龙江 60 VOL 高粱酒 散装称重 2020/9/23 152 嫩仓酒业 水师工业园区 龙沙区笑颜之家粥铺 黑龙江 50 VOL 小米酒 散装称重 2020/9/23 153 泗洪县双沟镇宴酒厂 江苏省宿迁市双沟镇纬一 龙沙区奎卜烤右烧烤店 路15号 黑龙江 三两白 散装称重 2020/5/10 154 / / 龙沙区夏夏麻辣烫店 黑龙江 色拉油 散装称重 2020/10/23 155 / / 牡丹江市华隆西市场刘存 朝副食品摊床 黑龙江 芝麻香油 散装称重 2020/10/23 156 / / 157 / / 158 / / 159 / / 160 161 162 163 164 165 166 167 168 牡丹江市华隆西市场任银 宗香油干调摊床 牡丹江市华隆西市场丹洁 香油坊 黑龙江 芝麻香油 散装称重 2020/10/20 黑龙江 芝麻香油 散装称重 2020/10/22 绥棱县苗记香油坊 黑龙江 芝麻油 / 2020/10/14 绥棱县苗记香油坊 黑龙江 黑芝麻油 / 2020/10/18 黑龙江 大豆油 散装称重 2020/10/25 黑龙江 色拉油 散装称重 2020/10/25 黑龙江 大豆油 散装称重 2020/10/24 黑龙江 色拉油 散装称重 2020/10/24 黑龙江 50°高粱散白酒 散装称重 2020/9/12 黑龙江 小烧锅52 散装称重 2019/2/16 黑龙江 百乐泉·散白酒( 浓香型) 散装称重 2020/3/6 黑龙江 玉米50° 散装称重 2020/5/15 黑龙江 60°关东岁月清韵 酒 散装称重 2020/1/14 哈尔滨市南岗区巷子里铁 锅炖饭店 哈尔滨市南岗区巷子里铁 / / 锅炖饭店 哈尔滨市南岗区天香园家 / / 常菜馆 哈尔滨市南岗区天香园家 / / 常菜馆 齐齐哈尔市铁锋区元良酒 哈尔滨市南岗区天香园家 / 厂 常菜馆 百乐泉(济南)贵和酒业 山东省济南市天桥区桑梓 哈尔滨市南岗区刘老妈砂 有限公司 锅居 店镇308国道桑梓店段 4799号 (百乐泉)济南贵和酒业有 山东省济南市天桥区桑梓 哈尔滨市南岗区刘老妈砂 限公司 锅居 店镇308国道桑梓店段 4799号 哈尔滨市双城区兰陵镇祥 哈尔滨市南岗区奕之香快 双城市兰陵镇 福酒坊 餐店 黑龙江省关东岁月酒业有 哈尔滨市南岗区肆壹叁壹 / 限公司 叁羊庄饭店哈西店 / / 169 / / 海伦市高智伟食品摊床 黑龙江 芝麻油 散装称重 2020/10/22 170 / / 海伦市刘爱梅香油摊床 黑龙江 芝麻油 散装称重 2020/10/25 171 / / 林甸县刘春凤香油摊床 黑龙江 小磨香油 散装称重 2020/10/25 172 / / 林甸县天泽超市 黑龙江 香油 散装称重 2020/10/18 173 / / 林甸县颜颜蜜汁饭快餐店 黑龙江 色拉油 散装称重 2020/10/24

餐饮食品及餐饮具监督抽检合格产品信息.xls




