2.食品安全监督抽检合格食品信息表.xlsx
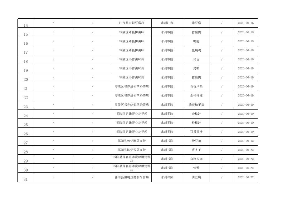
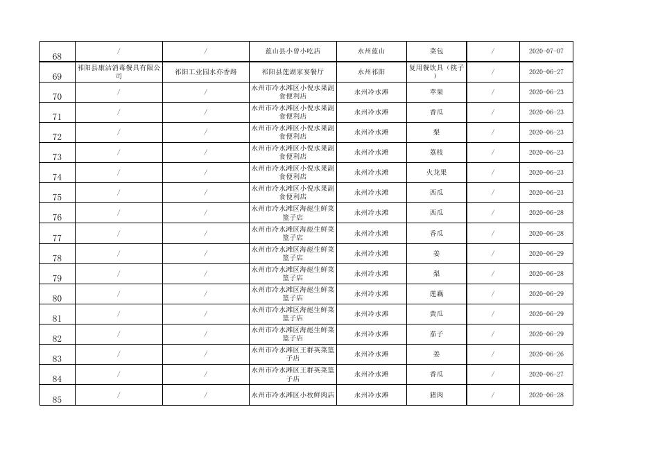
附件2 食品安全监督抽检合格食品信息表 本次公布的检验合格食品共计114批次,其中粮食加工品7批次,食用油、油脂及其制品2批次,酒类3批次,糕点3批次,豆制品7批次,蔬菜制 品2批次,餐饮食品45批次,食用农产品45批次。 标称生产企业名称 标称生产企业地址 被抽样单位名称 被抽样单位所在 市(县) 样品名称 规格型号 生产日期 永州多喜来食品有限公司 零陵区多喜来烘焙坊 永州零陵 鸡蛋糕 235g/包 2020-05-17 1 湖南省永州市冷水滩区九嶷 大道与陶源路交汇处东北角 (高科技工业园内) 2 襄阳鲁花浓香花生油有限公 湖北省襄阳市襄州区伙牌镇 司 零陵区万客隆超市 永州零陵 鲁花5S压榨一级花 生油 1升/瓶 2019-11-09 3 襄阳鲁花浓香花生油有限公 湖北省襄阳市襄州区伙牌镇 司 零陵区万客隆超市 永州零陵 鲁花压榨玉米油 1.6升/瓶 2020-04-20 4 湖南省东安县大庙口镇聚扬 湖南省东安县大庙口镇东大 东安县大庙口镇聚扬米粉厂 米粉厂 路聚扬米粉厂 永州东安 米粉 计量称重 2020-06-07 序号 5 6 7 8 9 10 11 12 13 / / 东安大众米粉厂 永州东安 干米粉 / 2020-06-04 / / 东安县陶琼华莱士炸鸡汉堡 店 永州东安 上校鸡块 / 2020-06-08 永州市冷水滩区竹山桥镇渲 永州市冷水滩区粒粒新米厂 溪村竹路6公里处 永州冷水滩 大米 25kg/袋 2020-06-05 永州市冷水滩区粒粒新米厂 / / 东安良久缘铁板鸭店 永州东安 卤猪耳朵 / 2020-06-09 / / 东安良久缘铁板鸭店 永州东安 烤鸭 / 2020-06-09 / / 东安良久缘铁板鸭店 永州东安 烤肉 / 2020-06-09 / / 永州市冷水滩区广式烧鹅店 永州冷水滩 油条 / 2020-06-11 / / 东安县程程烤鸭店 永州东安 卤豆腐 / 2020-06-11 江永县永丰腐乳制品厂 江永县桃川镇所城村东门口 村牌旁 江永县永丰腐乳制品厂 永州江永 王氏腐乳 250g/瓶 2020-06-15 14 15 16 17 18 19 20 21 22 23 24 25 26 27 28 29 30 31 / / 江永县田记豆腐店 永州江永 油豆腐 / 2020-06-16 / / 零陵区陆薇伊卤味 永州零陵 猪脸肉 / 2020-06-19 / / 零陵区陆薇伊卤味 永州零陵 鸭腿 / 2020-06-19 / / 零陵区陆薇伊卤味 永州零陵 盐焗鸡 / 2020-06-19 / / 零陵区小曹卤味店 永州零陵 猪舌 / 2020-06-19 / / 零陵区小曹卤味店 永州零陵 烤鸭 / 2020-06-19 / / 零陵区小曹卤味店 永州零陵 猪脸肉 / 2020-06-19 / / 零陵区书亦烧仙草奶茶店 永州零陵 百香凤梨 / 2020-06-19 / / 零陵区书亦烧仙草奶茶店 永州零陵 金桔柠檬 / 2020-06-19 / / 零陵区书亦烧仙草奶茶店 永州零陵 蜂蜜柚子茶 / 2020-06-19 / / 零陵区姐妹开心花甲粉 永州零陵 金桔汁 / 2020-06-19 / / 零陵区姐妹开心花甲粉 永州零陵 柠檬汁 / 2020-06-19 / / 零陵区姐妹开心花甲粉 永州零陵 百香果汁 / 2020-06-19 / / 祁阳县何记腌菜商行 永州祁阳 酸豆角 / 2020-06-12 / / 祁阳县陈记酱菜商行 永州祁阳 萝卜干 / 2020-06-22 / / 祁阳县百客惠木炭啤酒烤鸭 店 永州祁阳 卤猪头肉 / 2020-06-22 / / 祁阳县百客惠木炭啤酒烤鸭 店 永州祁阳 烤鸭 / 2020-06-22 / / 祁阳县阳明豆腐制品作坊 永州祁阳 油豆腐 / 2020-06-22 32 33 34 35 36 37 38 39 40 41 42 43 44 45 46 47 48 49 / / 祁阳县书香豆腐店 永州祁阳 豆腐 / 2020-06-22 / / 祁阳县川香百味烤鸭店 永州祁阳 猪脸肉 / 2020-06-22 / / 祁阳县川香百味烤鸭店 永州祁阳 东安鸡 / 2020-06-22 / / 祁阳县川香百味烤鸭店 永州祁阳 猪耳朵 / 2020-06-22 / / 祁阳县靓仔烧卤店 永州祁阳 烤鸭 / 2020-06-23 / / 祁阳县靓仔烧卤店 永州祁阳 猪耳朵 / 2020-06-23 / / 祁阳县靓仔烧卤店 永州祁阳 鸭腿 / 2020-06-23 / / 祁阳县华莱士炸鸡汉堡店 永州祁阳 大鸡排 / 2020-06-23 / / 祁阳县华莱士炸鸡汉堡店 永州祁阳 上校鸡块 / 2020-06-23 / / 祁阳县华莱士炸鸡汉堡店 永州祁阳 无骨鸡柳 / 2020-06-23 / / 祁阳县华莱士炸鸡汉堡店 永州祁阳 BBQ烤全鸡 / 2020-06-23 / / 祁阳县大忠桥镇刘婆豆腐作 坊 永州祁阳 油豆腐 / 2020-06-23 / / 祁阳县三口塘镇春林豆腐店 永州祁阳 香干豆腐 / 2020-06-23 / / 祁阳县幸福豆皮制品厂 永州祁阳 豆皮 / 2020-06-19 / / 零陵区书亦烧仙草奶茶店 永州零陵 鲜橙葡萄柚 / 2020-06-19 / / 祁阳县皇冠蛋糕生产车间 永州祁阳 QQ面包 / 2020-06-22 祁阳县宝塔米厂 祁阳县龙山街道办事处黄土 岭村4组 祁阳县宝塔米厂 永州祁阳 泰香软米(大米) 15kg/袋 2020-06-22 / / 祁阳县川香百味烤鸭店 永州祁阳 卤豆腐干 / 2020-06-22 50 51 52 53 / / 祁阳县茶乡土特产店 永州祁阳 豆腐丸子 散装 2020-06-22 祁阳县八宝镇金禾大米加工 湖南省永州市祁阳县八宝镇 祁阳县八宝镇金禾大米加工 厂 黄河村唐家洲 厂 永州祁阳 桃花香(大米) 15kg±0.1kg/袋 2020-06-23 / / 祁阳县白水镇左氏拇指蛋糕 店 永州祁阳 方块蛋糕 / 2020-06-24 宁远九疑山圣梁酒坊 湖南省宁远县九疑山乡大桑 塘村 宁远九疑山圣梁酒坊 永州宁远 九疑高梁酒 500ml/瓶 2019-05-18 54 永州市祁阳县三口塘镇建生 永州市祁阳县三口塘镇三口 祁阳县三口塘镇建生米粉小 米粉 塘村5组 作坊 永州祁阳 建生米粉 25kg/袋 2020-06-18 55 湖南省永州市祁阳县三口塘 祁阳县三口塘镇德元米粉厂 祁阳县三口塘镇德元米粉厂 镇豪山村一组 永州祁阳 德元米粉 25kg/袋 2020-06-23 祁阳县白水镇华利米酒 湖南省永州市祁阳县白水镇 仁亲村九组 祁阳县白水镇华利米酒 永州祁阳 军梅酒 500ml/瓶 2018-01-20 / / 祁阳县马嘶米酒厂 永州祁阳 米酒 / 2020-05-25 / / 祁阳县长沙德圆包点人字街 店 永州祁阳 豆沙包 / 2020-06-28 / / 祁阳县张记蒸包坊 永州祁阳 黑芝麻糖包 / 2020-06-28 / / 祁阳县张记蒸包坊 永州祁阳 粉丝包 / 2020-06-28 / / 祁阳县张记蒸包坊 永州祁阳 海带包 / 2020-06-28 / / 祁阳县张记蒸包坊 永州祁阳 红枣卷 / 2020-06-28 / / 东安县天成学校 永州东安 酸菜包 / 2020-07-03 / / 东安县天成学校 永州东安 粉丝包 / 2020-07-03 / / 蓝山县小曾小吃店 永州蓝山 馒头 / 2020-07-07 / / 蓝山县小曾小吃店 永州蓝山 豆沙包 / 2020-07-07 / / 蓝山县小曾小吃店 永州蓝山 奶皇包 / 2020-07-07 56 57 58 59 60 61 62 63 64 65 66 67 68 69 70 71 72 73 74 75 76 77 78 79 80 81 82 83 84 85 / / 蓝山县小曾小吃店 永州蓝山 菜包 / 2020-07-07 祁阳县康洁消毒餐具有限公 司 祁阳工业园水亦香路 祁阳县莲湖家宴餐厅 永州祁阳 复用餐饮具(筷子 ) / 2020-06-27 / / 永州市冷水滩区小倪水果副 食便利店 永州冷水滩 苹果 / 2020-06-23 / / 永州市冷水滩区小倪水果副 食便利店 永州冷水滩 香瓜 / 2020-06-23 / / 永州市冷水滩区小倪水果副 食便利店 永州冷水滩 梨 / 2020-06-23 / / 永州市冷水滩区小倪水果副 食便利店 永州冷水滩 荔枝 / 2020-06-23 / / 永州市冷水滩区小倪水果副 食便利店 永州冷水滩 火龙果 / 2020-06-23 / / 永州市冷水滩区小倪水果副 食便利店 永州冷水滩 西瓜 / 2020-06-23 / / 永州市冷水滩区海彪生鲜菜 篮子店 永州冷水滩 西瓜 / 2020-06-28 / / 永州市冷水滩区海彪生鲜菜 篮子店 永州冷水滩 香瓜 / 2020-06-28 / / 永州市冷水滩区海彪生鲜菜 篮子店 永州冷水滩 姜 / 2020-06-29 / / 永州市冷水滩区海彪生鲜菜 篮子店 永州冷水滩 梨 / 2020-06-28 / / 永州市冷水滩区海彪生鲜菜 篮子店 永州冷水滩 莲藕 / 2020-06-29 / / 永州市冷水滩区海彪生鲜菜 篮子店 永州冷水滩 黄瓜 / 2020-06-29 / / 永州市冷水滩区海彪生鲜菜 篮子店 永州冷水滩 茄子 / 2020-06-29 / / 永州市冷水滩区王群英菜篮 子店 永州冷水滩 姜 / 2020-06-26 / / 永州市冷水滩区王群英菜篮 子店 永州冷水滩 香瓜 / 2020-06-27 / / 永州市冷水滩区小枚鲜肉店 永州冷水滩 猪肉 / 2020-06-28 86 87 88 89 90 91 92 93 94 95 96 97 98 99 100 101 102 103 / / 永州市冷水滩区小枚鲜肉店 永州冷水滩 猪肝 / 2020-06-28 / / 永州市冷水滩区小枚鲜肉店 永州冷水滩 番茄(西红柿) / 2020-06-28 / / 永州市冷水滩区小枚鲜肉店 永州冷水滩 黄瓜 / 2020-06-27 / / 永州市冷水滩区小枚鲜肉店 永州冷水滩 豇豆 / 2020-06-28 / / 永州市冷水滩区小枚鲜肉店 永州冷水滩 茄子 / 2020-06-28 / / 永州市冷水滩区小枚鲜肉店 永州冷水滩 油麦菜 / 2020-06-28 / / 永州市冷水滩区小枚鲜肉店 永州冷水滩 豆芽 / 2020-06-28 / / 永州市冷水滩区小枚鲜肉店 永州冷水滩 芹菜 / 2020-06-28 / / 永州市冷水滩区小枚鲜肉店 永州冷水滩 姜 / 2020-06-28 / / 永州市冷水滩区优家鲜果副 食店 永州冷水滩 柠檬 / 2020-06-26 / / 永州市冷水滩区优家鲜果副 食店 永州冷水滩 脐橙 / 2020-06-26 / / 永州市冷水滩区优家鲜果副 食店 永州冷水滩 梨 / 2020-06-26 / / 永州市冷水滩区优家鲜果副 食店 永州冷水滩 芒果 / 2020-06-26 / / 永州市冷水滩区优家鲜果副 食店 永州冷水滩 夏橙 / 2020-06-26 / / 永州市冷水滩区优家鲜果副 食店 永州冷水滩 香蕉 / 2020-06-26 / / 永州市冷水滩区优家鲜果副 食店 永州冷水滩 苹果 / 2020-06-26 / / 永州市冷水滩区优家鲜果副 食店 永州冷水滩 荔枝 / 2020-06-26 / / 永州市冷水滩区优家鲜果副 食店 永州冷水滩 火龙果 / 2020-06-26 104 105 106 107 108 109 110 111 112 113 114 / / 永州市冷水滩区优家鲜果副 食店 永州冷水滩 猕猴桃 / 2020-06-26 / / 永州市冷水滩区老廖海鲜店 永州冷水滩 多宝鱼 / 2020-06-29 / / 永州市冷水滩区老廖海鲜店 永州冷水滩 花甲(花蛤) / 2020-06-29 / / 永州市冷水滩区老廖海鲜店 永州冷水滩 青蟹 / 2020-06-29 / / 永州市冷水滩区海彪生鲜菜 篮子店 永州冷水滩 辣椒 / 2020-06-29 / / 永州市冷水滩区海彪生鲜菜 篮子店 永州冷水滩 普通白菜 / 2020-06-29 / / 永州市冷水滩区海彪生鲜菜 篮子店 永州冷水滩 鸡蛋 / 2020-06-29 / / 永州市冷水滩区王群英菜篮 子店 永州冷水滩 辣椒 / 2020-06-29 / / 永州市冷水滩区王群英菜篮 子店 永州冷水滩 草鱼(淡水鱼) / 2020-06-30 / / 永州市冷水滩区王群英菜篮 子店 永州冷水滩 鸡蛋 / 2020-06-29 / / 永州市冷水滩区王群英菜篮 子店 永州冷水滩 豇豆 / 2020-06-29 豆制品7批次,蔬菜制 备注

2.食品安全监督抽检合格食品信息表.xlsx




