2018年宣城市公安机关招录警务辅助人员笔试成绩.xls
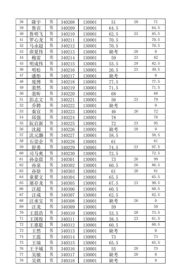
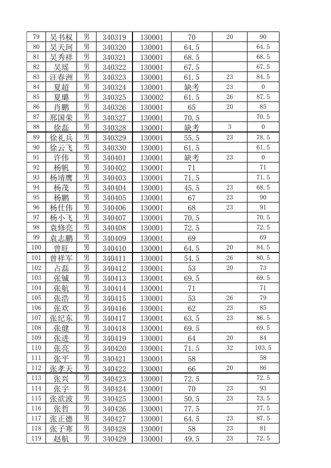
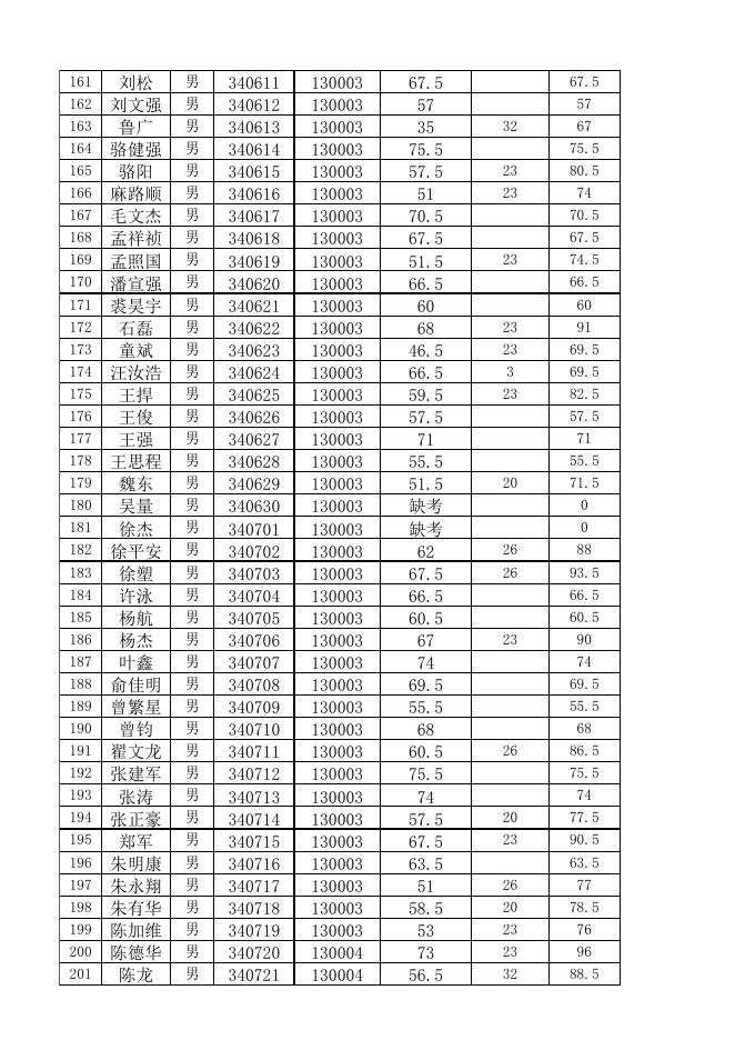
2018年宣城市公安机关招录警务辅助人员笔试成绩 序号 姓名 性别 准考证号 职位代码 笔试原始成绩 加分 最终成绩 1 曹祥华 查智鹏 陈聪 陈建 陈仁杰 丁志鹏 丁智君 方晖 方颖 冯正宣 傅明 过双亮 韩康 贺年强 胡书武 胡伟翔 黄世辰 黄书智 黄宣 黄园园 纪泓宇 季强 江海龙 江毅奇 蒋梦伟 开文康 康超 柯可 李邦鹏 李斌 李超 李玉环 刘峰 刘家明 刘啸天 刘旭健 刘雍 男 340101 340102 340103 340104 340105 340106 340107 340108 340109 340110 340111 340112 340113 340114 340115 340116 340117 340118 340119 340120 340121 340122 340123 340124 340125 340126 340127 340128 340129 340130 340201 340202 340203 340204 340205 340206 340207 130001 130001 130001 130001 130001 130001 130001 130001 130001 130001 130001 130001 130001 130001 130001 130001 130001 130001 130001 130001 130001 130001 130001 130001 130001 130001 130001 130001 130001 130001 130001 130001 130001 130001 130001 130001 130001 69.5 55 62.5 69 62 79.5 70.5 缺考 58 72 62 63 47 70.5 68.5 78.5 58 67 61.5 71 61.5 61.5 70 61 66.5 49 65 65.5 57.5 65 65 79.5 64 缺考 59.5 52.5 61 65 134.5 23 78 2 3 4 5 6 7 8 9 10 11 12 13 14 15 16 17 18 19 20 21 22 23 24 25 26 27 28 29 30 31 32 33 34 35 36 37 男 男 男 男 男 男 男 男 男 男 男 男 男 男 男 男 男 男 男 男 男 男 男 男 男 男 男 男 男 男 男 男 男 男 男 男 62.5 23 92 62 79.5 3 73.5 0 23 81 72 62 26 89 20 67 70.5 23 91.5 26 104.5 23 81 67 61.5 26 97 23 84.5 61.5 29 99 26 87 3 69.5 20 69 23 88 65.5 57.5 65 26 91 79.5 64 23 0 20 79.5 20 72.5 3 64 38 39 40 41 42 43 44 45 46 47 48 49 50 51 52 53 54 55 56 57 58 59 60 61 62 63 64 65 66 67 68 69 70 71 72 73 74 75 76 77 78 隆宇 鲁宾 鲁明飞 罗心龙 马永超 茆夏伟 梅雷 明成伟 明松 潘彤 庞博 裴然 裴昕 彭志文 乔聘 秦宣 邱强 阮启新 沈超 沈元灏 石崇企 舒勇 司马爽 孙金晨 孙泉 孙徐 童翟文 屠存龙 汪超 汪成 汪承宝 汪龙 王晨浩 王国俊 王惠聪 王然 王蕊 王瑞 王予城 吴敏 吴祺 男 男 男 男 男 男 男 男 男 男 男 男 男 男 男 男 男 男 男 男 男 男 男 男 男 男 男 男 男 男 男 男 男 男 男 男 男 男 男 男 男 340208 340209 340210 340211 340212 340213 340214 340215 340216 340217 340218 340219 340220 340221 340222 340223 340224 340225 340226 340227 340228 340229 340230 340301 340302 340303 340304 340305 340306 340307 340308 340309 340310 340311 340312 340313 340314 340315 340316 340317 340318 130001 130001 130001 130001 130001 130001 130001 130001 130001 130001 130001 130001 130001 130001 130001 130001 130001 130001 130001 130001 130001 130001 130001 130001 130001 130001 130001 130001 130001 130001 130001 130001 130001 130001 130001 130001 130001 130001 130001 130001 130001 51 64.5 62.5 70.5 70.5 缺考 59 53.5 26.5 缺考 77.5 71.5 68 56 缺考 46 78 72 缺考 58.5 61 74.5 72.5 73 60.5 61 65.5 67.5 60.5 62.5 缺考 59 53.5 38.5 60.5 缺考 73 65.5 55 缺考 缺考 20 71 64.5 23 85.5 70.5 70.5 20 0 23 82 29 82.5 23 49.5 0 77.5 71.5 68 23 79 0 26 72 78 23 95 20 0 58.5 61 23 97.5 72.5 26 99 26 86.5 20 81 65.5 23 90.5 60.5 62.5 26 0 59 20 73.5 23 61.5 60.5 0 73 65.5 20 75 20 0 0 79 80 81 82 83 84 85 86 87 88 89 90 91 92 93 94 95 96 97 98 99 100 101 102 103 104 105 106 107 108 109 110 111 112 113 114 115 116 117 118 119 吴书权 吴天珂 吴秀祥 吴瑶 汪春洲 夏超 夏璐 肖鹏 邢国荣 徐磊 徐礼兵 徐云飞 许伟 杨帆 杨靖鹰 杨茂 杨鹏 杨仕伟 杨小飞 袁修亮 袁志鹏 曾旺 曾祥军 占磊 张铖 张航 张浩 张欢 张纪东 张健 张进 张亮 张平 张孝天 张兴 张宇 张欲波 张哲 张正德 张子寒 赵航 男 男 男 男 男 男 男 男 男 男 男 男 男 男 男 男 男 男 男 男 男 男 男 男 男 男 男 男 男 男 男 男 男 男 男 男 男 男 男 男 男 340319 340320 340321 340322 340323 340324 340325 340326 340327 340328 340329 340330 340401 340402 340403 340404 340405 340406 340407 340408 340409 340410 340411 340412 340413 340414 340415 340416 340417 340418 340419 340420 340421 340422 340423 340424 340425 340426 340427 340428 340429 130001 130001 130001 130001 130001 130001 130002 130001 130001 130001 130001 130001 130001 130001 130001 130001 130001 130001 130001 130001 130001 130001 130001 130001 130001 130001 130001 130001 130001 130001 130001 130001 130001 130001 130001 130001 130001 130001 130001 130001 130001 70 64.5 68.5 67.5 61.5 缺考 61.5 65 70.5 缺考 55.5 61.5 缺考 71 71.5 45.5 67 68 70.5 72.5 69 64.5 54.5 53 69.5 71 53 62 63.5 69.5 64 71.5 58 66 72.5 70 50.5 77.5 64.5 58 49.5 20 90 64.5 68.5 67.5 23 84.5 23 0 26 87.5 20 85 70.5 3 0 23 78.5 61.5 23 0 71 71.5 23 68.5 23 90 23 91 70.5 72.5 69 20 84.5 26 80.5 20 73 69.5 71 26 79 23 85 23 86.5 69.5 20 84 32 103.5 58 20 86 72.5 23 93 23 73.5 77.5 23 87.5 23 81 23 72.5 120 121 122 123 124 125 126 127 128 129 130 131 132 133 134 135 136 137 138 139 140 141 142 143 144 145 146 147 148 149 150 151 152 153 154 155 156 157 158 159 160 赵君 赵骞 赵玄 钟俊涛 周昌民 周泉 朱美宣 卓威 何斌 戚志成 汪国强 汪涛 徐志伟 杨凯 杨幸幸 曾德钢 张国良 陈超 陈晨 陈晨 陈俊峰 程浩 程勇士 方强 葛超 龚安 贡希豪 郭子文 何炳见 何泽 胡胜 黄丁强 黄先荣 黄舟 蒋骞 柯贤磊 李浩 刘浩 刘俊 刘崎 刘寿钢 男 男 男 男 男 男 男 男 男 男 男 男 男 男 男 男 男 男 男 男 男 男 男 男 男 男 男 男 男 男 男 男 男 男 男 男 男 男 男 男 男 340430 340501 340502 340503 340504 340505 340506 340507 340508 340509 340510 340511 340512 340513 340514 340515 340516 340517 340518 340519 340520 340521 340522 340523 340524 340525 340526 340527 340528 340529 340530 340601 340602 340603 340604 340605 340606 340607 340608 340609 340610 130001 130001 130001 130001 130001 130001 130001 130001 130002 130002 130002 130002 130002 130002 130002 130002 130002 130003 130003 130003 130003 130003 130003 130003 130003 130003 130003 130003 130003 130003 130003 130003 130003 130003 130003 130003 130003 130003 130003 130003 130003 65 69.5 66.5 62.5 53 缺考 58 69 60 65 65.5 60.5 50 58 55.5 49.5 50 55 59 68 58.5 62 53 58.5 73.5 55.5 55.5 66.5 45.5 62.5 54.5 49.5 57 缺考 67.5 56 57 60.5 63 63 56.5 29 94 69.5 29 95.5 3 65.5 53 23 0 20 78 20 89 23 83 32 97 32 97.5 23 83.5 20 70 26 84 26 81.5 20 69.5 23 73 23 78 32 91 68 58.5 20 82 23 76 20 78.5 73.5 23 78.5 55.5 20 86.5 29 74.5 23 85.5 3 57.5 23 72.5 32 89 20 0 23 90.5 23 79 57 60.5 32 95 23 86 20 76.5 161 162 163 164 165 166 167 168 169 170 171 172 173 174 175 176 177 178 179 180 181 182 183 184 185 186 187 188 189 190 191 192 193 194 195 196 197 198 199 200 201 刘松 刘文强 鲁广 骆健强 骆阳 麻路顺 毛文杰 孟祥祯 孟照国 潘宣强 裘昊宇 石磊 童斌 汪汝浩 王捍 王俊 王强 王思程 魏东 吴量 徐杰 徐平安 徐塑 许泳 杨航 杨杰 叶鑫 俞佳明 曾繁星 曾钧 翟文龙 张建军 张涛 张正豪 郑军 朱明康 朱永翔 朱有华 陈加维 陈德华 陈龙 男 男 男 男 男 男 男 男 男 男 男 男 男 男 男 男 男 男 男 男 男 男 男 男 男 男 男 男 男 男 男 男 男 男 男 男 男 男 男 男 男 340611 340612 340613 340614 340615 340616 340617 340618 340619 340620 340621 340622 340623 340624 340625 340626 340627 340628 340629 340630 340701 340702 340703 340704 340705 340706 340707 340708 340709 340710 340711 340712 340713 340714 340715 340716 340717 340718 340719 340720 340721 130003 130003 130003 130003 130003 130003 130003 130003 130003 130003 130003 130003 130003 130003 130003 130003 130003 130003 130003 130003 130003 130003 130003 130003 130003 130003 130003 130003 130003 130003 130003 130003 130003 130003 130003 130003 130003 130003 130003 130004 130004 67.5 57 35 75.5 57.5 51 70.5 67.5 51.5 66.5 60 68 46.5 66.5 59.5 57.5 71 55.5 51.5 缺考 缺考 62 67.5 66.5 60.5 67 74 69.5 55.5 68 60.5 75.5 74 57.5 67.5 63.5 51 58.5 53 73 56.5 67.5 57 32 67 75.5 23 80.5 23 74 70.5 67.5 23 74.5 66.5 60 23 91 23 69.5 3 69.5 23 82.5 57.5 71 55.5 20 71.5 0 0 26 88 26 93.5 66.5 60.5 23 90 74 69.5 55.5 68 26 86.5 75.5 74 20 77.5 23 90.5 63.5 26 77 20 78.5 23 76 23 96 32 88.5 202 203 204 205 206 207 208 209 210 211 212 213 214 215 216 217 218 219 220 221 222 223 224 225 226 227 228 229 230 231 232 233 234 235 236 237 238 239 240 241 242 陈思盼 程子轩 崔浪 范德铮 方明伟 付健超 管飞 郭义萌 胡华超 胡泽航 华伟 江澄 孔维鹏 李超 李大帅 李强 李忠波 廖鹏鹏 刘飞 刘洪臣 陆志伟 吕鹏 吕志文 罗冰 罗鹏 马祥 孟超 潘峰 邱猛 沈冲 沈非 沈善军 施远建 史伟伟 孙刚 汤家程 涂浩 万远华 汪帆 汪萌 王波 男 男 男 男 男 男 男 男 男 男 男 男 男 男 男 男 男 男 男 男 男 男 男 男 男 男 男 男 男 男 男 男 男 男 男 男 男 男 男 男 男 340722 340723 340724 340725 340726 340727 340728 340729 340730 340801 340802 340803 340804 340805 340806 340807 340808 340809 340810 340811 340812 340813 340814 340815 340816 340817 340818 340819 340820 340821 340822 340823 340824 340825 340826 340827 340828 340829 340830 340901 340902 130004 130004 130004 130004 130004 130004 130004 130004 130004 130004 130004 130004 130004 130004 130004 130004 130004 130004 130004 130004 130004 130004 130004 130004 130004 130004 130004 130004 130004 130004 130004 130004 130004 130004 130004 130004 130004 130004 130004 130004 130004 58.5 59 44 62 70 51 60.5 61 80 60.5 57 缺考 50 74.5 53.5 71 74.5 66 64 75.5 68 69 63 69 缺考 49 58.5 61 65 70.5 57 71.5 58 59.5 51 73 60.5 68 67.5 75.5 74 20 78.5 59 26 70 20 82 29 99 32 83 23 83.5 23 84 80 60.5 26 83 0 26 76 74.5 20 73.5 20 91 23 97.5 20 86 64 75.5 68 3 72 63 20 89 20 0 20 69 29 87.5 26 87 3 68 26 96.5 57 71.5 20 78 26 85.5 51 26 99 60.5 32 100 67.5 75.5 74 243 244 245 246 247 248 249 250 251 252 253 254 255 256 257 258 259 260 261 262 263 264 265 266 267 268 269 270 271 272 273 274 275 276 277 278 279 280 281 282 283 王恒 王健 王景勇 王琨 王龙 吴皓 吴俊杰 吴松 武庭瑞 夏程祥 夏锋 夏旻 肖自成 徐浩 徐嘉俊 徐磊 徐涛 徐晓磊 徐毅 严盛 杨帆 杨文瑞 杨勇 易泽正 尹超 余新潮 於孝晨 张颢 张衡 张昕 赵百华 钟腾 周道 周凡 周俊 朱魁 诸贤忠 宗浩 蔡云 陈尘 程慧 男 男 男 男 男 男 男 男 男 男 男 男 男 男 男 男 男 男 男 男 男 男 男 男 男 男 男 男 男 男 男 男 男 男 男 男 男 男 女 女 女 340903 340904 340905 340906 340907 340908 340909 340910 340911 340912 340913 340914 340915 340916 340917 340918 340919 340920 340921 340922 340923 340924 340925 340926 340927 340928 340929 340930 341001 341002 341003 341004 341005 341006 341007 341008 341009 341010 341011 341012 341013 130004 130004 130004 130004 130004 130004 130004 130004 130004 130004 130004 130004 130004 130004 130004 130004 130004 130004 130004 130004 130004 130004 130004 130004 130004 130004 130004 130004 130004 130004 130004 130004 130004 130004 130004 130004 130004 130004 130005 130005 130005 81.5 66 70 63.5 65 缺考 65 59.5 50 75.5 56.5 67 63 69.5 70.5 80.5 71 69.5 71.5 65.5 72 61 缺考 64.5 54.5 70 60.5 63 缺考 65 55.5 57 70 69.5 59.5 56.5 60.5 63.5 64 60.5 65.5 81.5 66 38 108 20 83.5 26 91 0 3 68 29 88.5 20 70 3 78.5 32 88.5 67 63 69.5 70.5 80.5 71 69.5 71.5 65.5 72 61 23 0 20 84.5 20 74.5 70 23 83.5 23 86 20 0 65 29 84.5 20 77 70 69.5 32 91.5 56.5 23 83.5 63.5 64 60.5 65.5 284 285 286 287 288 289 290 291 292 293 294 295 296 297 298 299 300 301 302 303 304 305 306 307 308 309 310 311 312 313 314 315 316 317 318 319 320 321 322 323 324 董波 高君 高梦雨 宫吟霜 郭慧颖 何有琴 胡真聪 黄慧敏 贾婷婷 姜丽 金灿 金蕾 李悦 廖永霞 刘倩 吕倩 罗祖芬 钱慧慧 钱玉珊 邱媛 石聪颖 孙梦严 凃风晴 庹忠懿 汪弛 王可佳 王文婷 王月 杨蕾 易蕾 张卓雅 周晗 朱梦 左丹 蔡元浩 陈安康 陈峰 陈家根 陈乐 陈晓虎 陈振 女 女 女 女 女 女 女 女 女 女 女 女 女 女 女 女 女 女 女 女 女 女 女 女 女 女 女 女 女 女 女 女 女 女 男 男 男 男 男 男 男 341014 341015 341016 341017 341018 341019 341020 341021 341022 341023 341024 341025 341026 341027 341028 341029 341030 341101 341102 341103 341104 341105 341106 341107 341108 341109 341110 341111 341112 341113 341114 341115 341116 341117 341118 341119 341120 341121 341122 341123 341124 130005 130005 130005 130005 130005 130005 130005 130005 130005 130005 130005 130005 130005 130005 130005 130005 130005 130005 130005 130005 130005 130005 130005 130005 130005 130005 130005 130005 130005 130005 130005 130005 130005 130005 130006 130006 130006 130006 130006 130006 130006 71 57.5 65.5 73 70 45 53.5 55 50.5 64 68.5 67.5 65.5 54 69 57 59.5 54 70 59.5 74.5 缺考 67 60.5 67 62.5 77.5 64.5 73 63 55 69 67 62.5 52 72 缺考 缺考 66.5 40 63 71 57.5 65.5 3 76 70 45 53.5 55 50.5 3 67 3 71.5 20 87.5 65.5 54 69 57 23 82.5 54 3 73 59.5 3 77.5 0 67 3 63.5 67 62.5 77.5 64.5 73 63 55 3 72 67 3 65.5 20 72 72 0 20 0 3 69.5 20 60 63 325 326 327 328 329 330 331 332 333 334 335 336 337 338 339 340 341 342 343 344 345 346 347 348 349 350 351 352 353 354 355 356 357 358 359 360 361 362 363 364 365 程杰 程进 程力 邓江山 丁桂全 丁鹏 丁玉健 杜隽捷 范超 方俊 方韬 傅澎 戈义伟 管文松 郭雪冰 韩含 胡衡 黄超 黄家 黄军 黄一波 黄颖 黄志维 吉秀城 简肖 蒋沈郑 靳白涛 阚玲玲 赖建航 李晨昊 李嘉 李俊 李胜 李维 李岩 梁涛 林晖 蔺松 刘东 刘剑锋 刘杰 男 男 男 男 男 男 男 男 男 男 男 男 男 男 男 男 男 男 男 男 男 男 男 男 男 男 男 女 男 男 男 男 男 男 男 男 男 男 男 男 男 341125 341126 341127 341128 341129 341130 341201 341202 341203 341204 341205 341206 341207 341208 341209 341210 341211 341212 341213 341214 341215 341216 341217 341218 341219 341220 341221 341222 341223 341224 341225 341226 341227 341228 341229 341230 341301 341302 341303 341304 341305 130006 130006 130006 130006 130006 130006 130006 130006 130006 130006 130006 130006 130006 130006 130006 130006 130006 130006 130006 130006 130006 130006 130006 130006 130006 130006 130006 130008 130006 130006 130006 130006 130006 130006 130006 130006 130006 130006 130006 130006 130006 60.5 58 62 60 56.5 64 63 66 缺考 缺考 68.5 66.5 62.5 66.5 64 58.5 62 63.5 58.5 52 54 72 40.5 49 77 63 58.5 70.5 59 46 77 76 45.5 67.5 72 73 50.5 45 59 65 缺考 60.5 32 90 20 82 20 80 23 79.5 3 67 29 92 66 0 0 68.5 66.5 62.5 66.5 64 23 81.5 23 85 63.5 20 78.5 23 75 20 74 20 92 29 69.5 26 75 23 100 20 83 20 78.5 3 73.5 23 82 46 77 76 45.5 67.5 72 73 20 70.5 45 23 82 65 0 366 367 368 369 370 371 372 373 374 375 376 377 378 379 380 381 382 383 384 385 386 387 388 389 390 391 392 393 394 395 396 397 398 399 400 401 402 403 404 405 406 刘杰 刘俊乐 刘洋 刘志 鲁志伟 毛家吻 梅伟 梅泽 彭金 彭学斌 祁国俊 慎志杰 盛良宝 史波 孙辉 孙志俊 邰昊 谭子港 田超 万品菕 万文文 万旭坤 汪栋 汪海涵 汪明 汪翔 汪旭阳 汪耀 王磊 王鹏凯 王苇涛 魏志刚 吴成伟 吴志凯 吴志鹏 武明明 夏文文 夏文哲 邢飞 熊赣萍 熊自杰 男 男 男 男 男 男 男 男 男 男 男 男 男 男 男 男 男 男 男 男 男 男 男 男 男 男 男 男 男 男 男 男 男 男 男 男 男 男 男 男 男 341306 341307 341308 341309 341310 341311 341312 341313 341314 341315 341316 341317 341318 341319 341320 341321 341322 341323 341324 341325 341326 341327 341328 341329 341330 341401 341402 341403 341404 341405 341406 341407 341408 341409 341410 341411 341412 341413 341414 341415 341416 130006 130006 130006 130006 130006 130006 130006 130006 130006 130006 130006 130006 130006 130006 130006 130006 130006 130006 130006 130006 130006 130006 130006 130006 130006 130006 130006 130006 130006 130006 130006 130006 130006 130006 130006 130006 130006 130006 130006 130006 130006 74 62 62.5 缺考 43.5 65 66 62 63.5 48 32 63 61.5 58 55 65 63.5 44 55 70 61 70 63.5 70.5 78.5 79.5 68.5 53 61 73 86 59 58 61 37.5 48 61.5 缺考 72.5 66 75 74 23 85 62.5 0 20 63.5 20 85 23 89 62 63.5 20 68 20 52 26 89 20 81.5 29 87 20 75 32 97 26 89.5 20 64 55 70 23 84 70 29 92.5 23 93.5 78.5 20 99.5 68.5 20 73 20 81 73 86 23 82 3 61 26 87 20 57.5 26 74 61.5 0 72.5 3 69 26 101 407 男 445 许浩 严陈 严镇 晏方箫 杨大峰 杨浩 杨涛 游文浩 余国俊 余中驰 占骏杰 张承新 张飞 张刚 张广红 张红松 张梦晨 张敏 张煜 章登翔 章守锋 赵钱钱 郑继磊 郑其海 郑森林 周力 周善烁 周杨 朱思源 管高峰 刘杰 杨万世 张浩 陈海丹 陈琦 陈清华 陈霞 程黎 戴叶 446 邓荞 女 447 段娴 女 408 409 410 411 412 413 414 415 416 417 418 419 420 421 422 423 424 425 426 427 428 429 430 431 432 433 434 435 436 437 438 439 440 441 442 443 444 男 男 男 男 男 男 男 男 男 男 男 男 男 男 男 男 男 男 男 男 男 男 男 男 男 男 男 男 男 男 男 男 女 女 女 女 女 女 341417 341418 341419 341420 341421 341422 341423 341424 341425 341426 341427 341428 341429 341430 341501 341502 341503 341504 341505 341506 341507 341508 341509 341510 341511 341512 341513 341514 341515 341516 341517 341518 341519 341520 341521 341522 341523 341524 341525 341526 341527 130006 130006 130006 130006 130006 130006 130006 130006 130006 130006 130006 130006 130006 130006 130006 130006 130006 130006 130006 130006 130006 130006 130006 130006 130006 130006 130006 130006 130006 130007 130007 130007 130007 130008 130008 130008 130008 130008 130008 130008 130008 缺考 43 54.5 54 58 缺考 65.5 44.5 57 62.5 46.5 69 68.5 68 69.5 63.5 64 缺考 缺考 59 54 56.5 45.5 67.5 48.5 38 69 59.5 61 36 49 缺考 52 55 62.5 64.5 68 68.5 62 52.5 67.5 0 20 63 54.5 54 58 0 20 85.5 23 67.5 23 80 23 85.5 20 66.5 69 68.5 68 69.5 63.5 20 84 0 20 0 59 26 80 26 82.5 45.5 26 93.5 20 68.5 29 67 69 59.5 61 23 59 20 69 26 0 20 72 55 62.5 3 67.5 68 68.5 3 65 3 55.5 67.5 448 449 450 451 452 453 454 455 456 457 458 459 460 461 462 463 464 465 466 467 468 469 470 471 472 473 474 475 476 477 478 479 480 481 482 483 484 485 486 487 488 方芮 龚静 胡珊珊 胡永丽 黄昌圆 孔祥丽 李萍 李秋晨 廖翀 林慈 刘佳宁 刘健 刘俊涛 刘延 卢雪峰 吕晓琦 马梦颖 宁洁 彭雪峰 齐雨婷 钱搏 钱瑾 任杰 沈彦 孙敏娴 涂志婧 汪可喜 汪乐 王美吉 王善奇 王希溪 夏章屏 谢倩 熊青青 徐思凡 徐思思 杨欢 杨佳 叶雨欣 应华倩 俞晖 女 女 女 女 女 女 女 女 女 女 女 女 男 男 女 女 女 女 女 女 女 女 女 女 女 女 女 女 女 女 女 女 女 女 女 女 女 女 女 女 女 341528 341529 341530 341601 341602 341603 341604 341605 341606 341607 341608 341609 341610 341611 341612 341613 341614 341615 341616 341617 341618 341619 341620 341621 341622 341623 341624 341625 341626 341627 341628 341629 341630 341701 341702 341703 341704 341705 341706 341707 341708 130008 130008 130008 130008 130008 130008 130008 130008 130008 130008 130008 130008 130006 130006 130008 130008 130008 130008 130008 130008 130008 130008 130008 130008 130008 130008 130008 130008 130008 130008 130008 130008 130008 130008 130008 130008 130008 130008 130008 130008 130008 64.5 55.5 缺考 57.5 缺考 65.5 59.5 67.5 66.5 55 缺考 57 63 65.5 67 68.5 71.5 55 缺考 60.5 72.5 52 68.5 58 74 63 67.5 缺考 64.5 46.5 45.5 55 56 缺考 59 缺考 68 65.5 76.5 57 79.5 64.5 55.5 0 57.5 3 0 3 68.5 23 82.5 67.5 66.5 20 75 0 57 63 3 68.5 6 73 20 88.5 71.5 55 0 60.5 72.5 52 68.5 58 74 63 67.5 0 64.5 46.5 45.5 55 56 0 59 0 23 91 65.5 76.5 57 79.5 489 490 491 492 493 494 495 496 497 498 499 500 501 502 503 504 505 506 507 508 509 510 511 512 513 514 515 516 517 518 519 520 521 522 523 524 525 526 527 528 529 袁启航 曾靓洁 曾晓乐 张丽 周静 陈进 陈鑫 陈鑫 程龙升 方宁辛 方炜杰 葛晓 桂林 胡家森 胡兢业 胡圣 华徐元 黄硕 江凯 金洋坤 郎吕辉 李程 李昊翔 李吉 李文 李子行 凌希仁 刘冰 刘杰 刘鑫涛 罗少骏 马振 梅芳凡 秦克超 沈航 时英军 宋成 宛钊 万道行 汪钒 王华杰 女 女 女 女 女 男 男 男 男 男 男 男 男 男 男 男 男 男 男 男 男 男 男 男 男 男 男 男 男 男 男 男 男 男 男 男 男 男 男 男 男 341709 341710 341711 341712 341713 341714 341715 341716 341717 341718 341719 341720 341721 341722 341723 341724 341725 341726 341727 341728 341729 341730 341801 341802 341803 341804 341805 341806 341807 341808 341809 341810 341811 341812 341813 341814 341815 341816 341817 341818 341819 130008 130008 130008 130008 130008 130009 130009 130009 130009 130009 130009 130009 130009 130009 130009 130009 130009 130009 130009 130009 130009 130009 130009 130009 130009 130009 130009 130009 130009 130009 130009 130009 130009 130009 130009 130009 130009 130009 130009 130009 130009 82.5 缺考 69.5 缺考 78 74 缺考 80 62.5 53.5 73 66 49 35 76.5 68 70 70 64 49 75 52.5 55.5 缺考 66.5 67 72 51 60 66 48 53 缺考 55.5 19.5 55.5 61 55 52 65 61.5 82.5 0 20 89.5 0 78 74 0 80 23 85.5 20 73.5 73 23 89 23 72 20 55 76.5 68 70 70 64 23 72 75 23 75.5 20 75.5 20 0 3 69.5 67 72 23 74 20 80 26 92 23 71 53 20 0 20 75.5 20 39.5 26 81.5 23 84 55 20 72 26 91 61.5 530 531 532 533 534 535 536 537 538 539 540 541 542 543 544 545 546 547 548 549 550 551 552 553 554 555 556 557 558 559 560 561 562 563 564 565 566 567 568 569 570 王健 王军 王天虎 王自强 吴陈 吴浪 辛宁 熊楚澄 涂伟 徐昭 杨斌 杨昌瑞 杨新航 喻涵 袁学坤 张成琛 张铖 张权 张思源 张岩 张琰康 张振 赵华建 赵志伟 周堃 朱晓亮 陈成 陈纾康 丁军 凤晶 高立 桂大双 郭成 何仁杰 李雷 李腾飞 李志鹏 刘纯刚 刘港 刘联 吕鑫文 男 男 男 男 男 男 男 男 男 男 男 男 男 男 男 男 男 男 男 男 男 男 男 男 男 男 男 男 男 男 男 男 男 男 男 男 男 男 男 男 男 341820 341821 341822 341823 341824 341825 341826 341827 341828 341829 341830 341901 341902 341903 341904 341905 341906 341907 341908 341909 341910 341911 341912 341913 341914 341915 341916 341917 341918 341919 341920 341921 341922 341923 341924 341925 341926 341927 341928 341929 341930 130009 130009 130009 130009 130009 130009 130009 130009 130009 130009 130009 130009 130009 130009 130009 130009 130009 130009 130009 130009 130009 130009 130009 130009 130009 130009 130010 130010 130010 130010 130010 130010 130010 130010 130010 130010 130010 130010 130010 130010 130010 70 65 50 缺考 59 53.5 缺考 59 66.5 67.5 50 74.5 67 缺考 73 67 缺考 缺考 59 缺考 67.5 59.5 64.5 59 缺考 60 53 77.5 67 71.5 68 63 70 62 74.5 68 67 49.5 缺考 55.5 50.5 70 23 88 20 70 0 59 26 79.5 0 59 66.5 67.5 20 70 74.5 20 87 20 0 73 32 99 23 0 29 0 23 82 0 67.5 20 79.5 20 84.5 59 3 0 26 86 23 76 77.5 23 90 23 94.5 26 94 63 70 62 74.5 23 91 20 87 23 72.5 20 0 20 75.5 23 73.5 571 572 573 574 575 576 577 578 579 580 581 582 583 584 585 586 587 588 589 590 591 592 593 594 595 596 597 598 599 600 601 602 603 604 605 606 607 608 609 610 611 马黎明 潘子冉 彭超 陶勇 万瑞祥 王佳伟 卫振鹏 吴昊 熊威 徐帆 徐梦强 徐伟杰 许家明 许小鹏 叶潼 翟笃群 朱焕 朱澍 曹鸿 朱胜 朱泽奎 曹欢欢 曹娟 曹琳 丁百玉 胡冉 黄彩云 马艳 邵文婷 沈丽媛 唐珊 汪静 王美玲 王思然 肖旻 肖硕君 徐安媛 徐银双 张洁 曹梦尧 陈剑锋 男 男 男 男 男 男 男 男 男 男 男 男 男 男 男 男 男 男 男 男 男 女 女 女 女 女 女 女 女 女 女 女 女 女 女 女 女 女 女 男 男 341931 342001 342002 342003 342004 342005 342006 342007 342008 342009 342010 342011 342012 342013 342014 342015 342016 342017 342018 342019 342020 342021 342022 342023 342024 342025 342026 342027 342028 342029 342030 342031 342101 342102 342103 342104 342105 342106 342107 342108 342109 130010 130010 130010 130010 130010 130010 130010 130010 130010 130010 130010 130010 130010 130010 130010 130010 130010 130010 130011 130011 130011 130012 130012 130012 130012 130012 130012 130012 130012 130012 130012 130012 130012 130012 130012 130012 130012 130012 130012 130013 130013 63 52.5 缺考 67 49.5 40 59 70.5 39.5 65.5 58.5 53 60 68.5 71 43.5 46.5 57 55.5 47.5 54 缺考 缺考 51 66.5 54 缺考 63 62.5 52 66.5 缺考 60.5 78.5 缺考 65.5 66 67.5 68 67.5 44 26 89 23 75.5 23 0 26 93 23 72.5 20 60 23 82 20 90.5 23 62.5 26 91.5 23 81.5 20 73 60 3 71.5 20 91 23 66.5 23 69.5 29 86 23 78.5 26 73.5 23 77 0 3 0 51 66.5 23 77 0 63 3 65.5 32 84 66.5 0 60.5 78.5 3 0 3 68.5 66 23 90.5 68 67.5 26 70 612 613 614 615 616 617 618 619 620 621 622 623 624 625 626 627 628 629 630 631 632 633 634 635 636 637 638 639 640 641 642 643 644 645 646 647 648 649 650 651 652 程嘉琪 方祥 方永宝 洪伟武 胡陈民 胡伟 胡越 胡哲 黄鹏 纪文 倪亮 谭宇斌 汪崇海 汪福炜 汪诤 汪志龙 王绮 王炜华 王宇 许波 姚文凯 叶长春 叶翀 余阳 余子捷 章午明 章育敏 周铭 陈凯 范磊翔 方浩 郝敬国 黄杨 江旭峰 马择元 钱靖 邵俊 谭永庆 汪超 汪琛 汪杜斌 男 男 男 男 男 男 男 男 男 男 男 男 男 男 男 男 男 男 男 男 男 男 男 男 男 男 男 男 男 男 男 男 男 男 男 男 男 男 男 男 男 342110 342111 342112 342113 342114 342115 342116 342117 342118 342119 342120 342121 342122 342123 342124 342125 342126 342127 342128 342129 342130 342131 342201 342202 342203 342204 342205 342206 342207 342208 342209 342210 342211 342212 342213 342214 342215 342216 342217 342218 342219 130013 130013 130013 130013 130013 130013 130013 130013 130013 130013 130013 130013 130013 130013 130013 130013 130013 130013 130013 130013 130013 130013 130013 130013 130013 130013 130013 130013 130014 130014 130014 130014 130013 130014 130014 130014 130014 130014 130014 130014 130014 62 42.5 缺考 64 缺考 80.5 70.5 58.5 62 60 23.5 57 43 67 65 69.5 53 32 57 缺考 68 65 缺考 69 59.5 53 37 58.5 66.5 53 67.5 48.5 48 70.5 52.5 59 66 54.5 51 54.5 46.5 35 97 32 74.5 20 0 64 20 0 3 83.5 23 93.5 23 81.5 23 85 20 80 20 43.5 23 80 43 26 93 23 88 29 98.5 26 79 32 26 83 0 68 65 0 69 59.5 20 73 29 66 23 81.5 3 69.5 23 76 26 93.5 29 77.5 48 70.5 23 75.5 59 66 26 80.5 20 71 23 77.5 20 66.5 653 654 655 656 657 658 659 660 661 662 663 664 汪晗 汪鹏 王国旋 王剑培 吴钦 吴卓堃 谢雨炀 许文强 杨国建 周敏 朱浩伦 朱宏祥 男 男 男 男 男 男 男 男 男 男 男 男 342220 342221 342222 342223 342224 342225 342226 342227 342228 342229 342230 342231 130014 130014 130014 130014 130014 130014 130014 130014 130014 130014 130014 130014 75.5 缺考 58.5 47 缺考 74.5 57.5 缺考 56 67.5 64 49 75.5 20 0 32 90.5 32 79 20 0 74.5 20 77.5 0 56 67.5 20 84 26 75

2018年宣城市公安机关招录警务辅助人员笔试成绩.xls




