2019年10月份预算执行进度表.xls
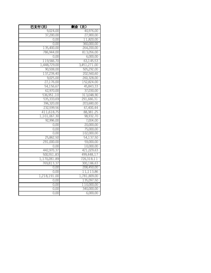
摘要 当前预算(元) “市队校办”特色运动队建设 50,000.00 2017年爱心一日捐 65,100.00 2018年免除普通高中建档立卡家庭经济困难学生学杂费资金 11,820.00 2019年普通高中政府助学金 360,000.00 班主任津贴 399,600.00 办公设备、教学等设备购置费 1,600,000.00 担当作为狠抓落实大竞赛大比武奖励 6,000.00 公益性岗位工资 182,712.23 绩效考核项目费 4,900,000.00 教学业务费 595,800.00 教学业务费 339,800.00 考务费 269,353.00 30231_公务用车运行维护费 180,000.00 30218_专用材料费 100,000.00 30213_维修(护)费 100,000.00 30228_工会经费 850,000.00 30299_其他商品和服务支出 827,000.00 30211_差旅费 600,000.00 30201_办公费 300,000.00 30205_水费 500,000.00 30206_电费 1,200,000.00 30207_邮电费 100,000.00 30217_公务接待费 20,000.00 省级工业专项发展资金-节约型公共机构示范单位创建奖励资金 75,000.00 102,000.00 就有补助资金 提前下达2019年教育救助专项资金 80,000.00 提前下达2019年普通高中国家助学金转移支付资金 350,000.00 提前下达2019年学生奖助学金(免除普通高中建档立卡家庭经济困难学生学杂费)转移支付资金 10,000.00 外聘教师及政府购买服务 864,000.00 1,000,000.00 校舍设施购置修缮及物业保洁费(大型修缮) 1,896,600.00 校舍设施购置修缮及物业保洁费(物业) 校园安保经费 1,070,000.00 校园文化建设(非税代管资金) 208,450.00 一中高考体检费 11,113.86 艺术馆、校史馆展陈设计施工一体化项目工程进度款 3,000,000.00 追加2018年普通高中国家助学金转移支付资金 135,097.50 追加2019年普通高中国家助学金-省级资金 110,000.00 追加2019年普通高中国家助学金-市级资金 340,000.00 足球奖励 6,000.00 已支付(元) 9,024.00 37,200.00 0.00 0.00 135,400.00 786,944.00 0.00 119,566.70 1,448,729.00 90,508.00 137,239.40 9,025.00 27,176.00 54,156.67 62,970.00 536,951.10 535,333.69 396,320.00 232,599.56 411,618.75 1,101,067.30 92,996.00 0.00 0.00 0.00 25,862.50 291,000.00 0.00 442,970.37 500,551.83 1,170,281.89 769,813.37 0.00 0.00 1,218,191.00 0.00 0.00 0.00 0.00 剩余(元) 40,976.00 27,900.00 11,820.00 360,000.00 264,200.00 813,056.00 6,000.00 63,145.53 3,451,271.00 505,292.00 202,560.60 260,328.00 152,824.00 45,843.33 37,030.00 313,048.90 291,666.31 203,680.00 67,400.44 88,381.25 98,932.70 7,004.00 20,000.00 75,000.00 102,000.00 54,137.50 59,000.00 10,000.00 421,029.63 499,448.17 726,318.11 300,186.63 208,450.00 11,113.86 1,781,809.00 135,097.50 110,000.00 340,000.00 6,000.00

2019年10月份预算执行进度表.xls
