秦岭文库(kunmingchi.com)你想要的内容这里独有!

附件2:需要补充专家的学科专业名录.xls

漏光的树14 页 90 KB下载文档
附件2:需要补充专家的学科专业名录.xls附件2:需要补充专家的学科专业名录.xls附件2:需要补充专家的学科专业名录.xls附件2:需要补充专家的学科专业名录.xls附件2:需要补充专家的学科专业名录.xls附件2:需要补充专家的学科专业名录.xls
当前文档共14页 下载后继续阅读

附件2:需要补充专家的学科专业名录.xls

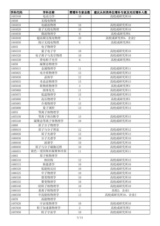
附件3 需要补充专家的学科专业名录 学科代码 110 11014 1101400 1101420 1101430 1101440 1101450 1101460 11017 1101710 1101720 1101740 1101750 1101760 1101770 1101780 11021 1102110 1102115 1102120 1102125 1102135 1102145 1102150 1102155 1102160 1102170 1102175 110027 11002710 11002715 11002720 11002725 11002730 11002740 11002745 11002755 11002740 11031 1103110 1103115 1103120 1103125 1103130 学科名称 数学 数理逻辑与数理基础 演绎逻辑 证明论 递归论 模型论 公理集合论 数学基础 数论 初等数论 解析数论 超越数论 丢番图逼近 数的几何 概率数论 计算数论 代数学 线性代数 群论 域论 李群 kac-moody代数 模论 格论 泛代数理论 范畴论 代数K理论 微分代数 代数学 几何学基础 欧式几何学 非欧几何学 球面几何学 向量和张量分析 仿射几何学 分数维几何 计算几何学 射影几何学 拓扑学 点集拓扑学 代数拓扑学 同伦论 低微拓扑学 同调论 需增补专家总数 建议从何类单位增补专家及对应增补人数 9 10 10 9 12 9 高校或研究所9 高校或研究所10 高校或研究所10 高校或研究所9 高校或研究所12 高校或研究所9 9 6 9 8 10 10 13 高校或研究所9 高校或研究所6 高校或研究所9 高校或研究所8 高校或研究所10 高校或研究所10 高校或研究所13 12 10 12 8 9 8 10 12 10 10 10 高校或研究所12 高校或研究所10 高校或研究所12 高校或研究所8 高校或研究所9 高校或研究所8 高校或研究所10 高校或研究所12 高校或研究所10 高校或研究所10 高校或研究所10 7 10 10 10 10 9 8 9 8 高校或研究所7 高校或研究所10 高校或研究所10 高校或研究所10 高校或研究所10 高校或研究所9 高校或研究所8 高校或研究所9 高校或研究所8 10 8 10 12 11 1/14 高校或研究所10 高校或研究所8 高校或研究所10 高校或研究所12 高校或研究所11 学科代码 1103135 1103140 1103145 1103150 1103155 1103160 11034 1103410 1103420 1103430 11041 1104110 1104160 1104170 11044 1104430 11050 1105030 11057 1105715 1105720 1105725 1105730 1105735 1105745 1105750 11061 1106140 1106170 1106175 1106180 1106185 1106190 1106195 11064 1106410 1106420 1106430 1106470 1106480 11067 1106710 1106715 1106725 1106730 1106740 学科名称 维数论 格上拓扑学 纤维丛论 几何拓扑学 奇点理论 微分拓扑学 数学分析 微分学 积分学 级数论 函数论 实变函数论 复流形 特殊函数论 常微分方程 解析理论 动力系统 复杂动力系统 泛函分析 变分法 拓扑空间理论 希尔伯特理论 函数空间 巴拿赫空间 测度与积分 广义函数论 计算数学 积分变换与积分原理 随机数值方法 并行计算算法 误差分析 小波分析 反问题计算 符号计算 概率论 几何概率 概率分布 极限理论 鞅论 应用概率论 数理统计 抽样理论 假设理论 方差分析 相关回归分析 贝叶斯理论 需增补专家总数 12 8 12 8 8 8 建议从何类单位增补专家及对应增补人数 高校或研究所12 高校或研究所8 高校或研究所12 高校或研究所8 高校或研究所8 高校或研究所8 12 13 12 高校或研究所12 高校或研究所13 高校或研究所12 8 9 10 高校或研究所8 高校或研究所9 高校或研究所10 12 高校或研究所12 12 高校或研究所12 10 9 9 9 8 8 9 高校或研究所10 高校或研究所9 高校或研究所9 高校或研究所9 高校或研究所8 高校或研究所8 高校或研究所9 9 10 12 10 10 10 9 高校或研究所9 高校或研究所10 高校或研究所12 高校或研究所10 高校或研究所10 高校或研究所10 高校或研究所9 10 12 10 10 5 高校或研究所10 高校或研究所12 高校或研究所10 高校或研究所10 高校或研究所5 9 8 10 10 8 高校或研究所9 高校或研究所8 高校或研究所10 高校或研究所10 高校或研究所8 2/14 学科代码 1106745 1106750 1106755 1106760 1106765 11071 1107110 1107120 1107130 1107140 11074 1107410 1107420 1107425 1107430 1107435 1107440 1107445 1107450 1107455 1107460 1107465 1107475 11081 11091 120 12010 1201020 1201030 12020 1202010 1202020 1202030 1202040 1202050 1202060 1202070 12030 1203010 1203020 1203030 12040 12050 1205010 1205020 1205030 学科名称 需增补专家总数 试验设计 8 多元分析 5 统计判决理论 9 时间序列分析 6 空间统计 9 应用统计数学 统计质量控制 12 可靠性数学 12 保险数学 12 统计模拟 12 运筹学 线性规划 10 动态规划 10 组合最优化 6 参数规划 10 整数规划 10 随机规划 11 排队论 11 对策论 9 库存论 9 决策论 9 搜索论 12 统筹论 12 离散数学 15 工程数学 12 信息科学与系统科学 信息科学与系统科学基础学 科 控制论 13 系统论 10 系统学 混沌 6 一般系统论 6 耗散结构理论 6 协同学 6 突变论 6 超循环论 6 复杂系统与复杂性科学 15 控制理论 大系统理论 12 系统辨识 16 状态估计 18 系统评估与可行性分析 17 系统工程方法论 系统建模 14 决策分析 17 决策支持系统 16 3/14 建议从何类单位增补专家及对应增补人数 高校或研究所8 高校或研究所5 高校或研究所9 高校或研究所6 高校或研究所9 高校或研究所12 高校或研究所12 高校或研究所12 高校或研究所12 高校或研究所10 高校或研究所10 高校或研究所6 高校或研究所10 高校或研究所10 高校或研究所11 高校或研究所11 高校或研究所9 高校或研究所9 高校或研究所9 高校或研究所12 高校或研究所12 高校或研究所15 高校或研究所12 高校或研究所11,企业2 高校或研究所10 高校或研究所6 高校或研究所6 高校或研究所6 高校或研究所6 高校或研究所6 高校或研究所6 高校或研究所15 高校或研究所12 高校或研究所16 高校或研究所18 高校或研究所17 高校或研究所14 高校或研究所15 高校或研究所16 学科代码 1205040 12060 140 14015 1401510 1401520 1401530 1401540 14020 1402010 1402020 1402025 1402035 1402045 1402053 1402056 1402059 1402063 1402066 1402069 1402073 1402076 1402079 1402083 1402086 14025 1402510 1402520 1402530 14030 1403010 1403015 1403025 1403040 1403045 1403050 1403053 1403060 1403061 1403062 1403064 1403066 14035 1403510 1403520 1403530 学科名称 需增补专家总数 管理信息系统 15 工程控制论 19 物理学 理论物理学 数学物理 11 电磁场理论 6 经典场论 6 相对论 5 声学 普通线性声学 6 非线性声学 6 流体动力声学 6 超声学、量子声学和声学效 12 应 次声学 6 结构声学和振动 10 噪声、噪声效应及其控制 12 建筑声学与电声学 10 声学信号处理 2 生理、心理声学和生物声学 6 语言声学和语音信号处理 6 音乐声学 6 声学换能器 6 声学测量方法 10 声学材料 10 信息科学中的声学问题 10 热学 热力学 6 热物性学 6 传热学 15 光学 几何光学 10 物理光学 12 光谱学 5 导波光学 15 发光学 15 红外物理 19 X射线学 10 应用光学 2 建筑光学 6 环境光学 10 海洋光学 6 光学遥感 3 电磁学 电学 6 静电学 10 静磁学 10 4/14 建议从何类单位增补专家及对应增补人数 高校或研究所12,企业3 高校或研究所19 高校或研究所11 高校或研究所6 高校或研究所6 高校或研究所5 高校或研究所6 高校或研究所6 高校或研究所6 高校或研究所12 高校或研究所6 高校或研究所10 高校或研究所12 高校或研究所10 高校2 高校或研究所6 高校或研究所6 高校或研究所6 高校或研究所6 高校或研究所10 高校或研究所10 高校或研究所10 高校或研究所6 高校或研究所6 高校或研究所12,企业3 高校或研究所10 高校或研究所12 高校5 高校15 高校15 高校19 高校10 研究所2 高校或研究所6 高校或研究所10 高校或研究所6 高校3 高校或研究所6 高校或研究所10 高校或研究所10 学科代码 1403540 14040 1404010 1404020 1404030 1404040 1404050 14045 1404510 1404520 1404530 14050 1405015 1405025 1405030 1405035 1405040 1405060 1405075 1405080 1405085 1405090 14055 1405530 1405540 14060 1406010 1406020 1406030 1406040 1406050 1406055 14065 1406510 1406515 1406520 1406525 1406530 1406535 1406540 1406545 1406550 14070 1407020 1407030 1407050 学科名称 需增补专家总数 电动力学 10 无线电物理 电磁波物理 10 量子无线电物理 10 微波物理学 6 超高频无线电物理 10 统计无线电物理 6 电子物理学 量子电子学 10 电子离子与真空物理 10 带电粒子光学 6 凝聚态物理学 金属物理学 11 电介质物理学 12 晶体学 12 非晶态物理学 15 软物质物理学 3 固体发光 11 低温物理学 15 高压物理学 5 介观物理学 15 量子调控 13 等离子体物理学 等离子体诊断学 15 凝聚态等离子体物理学 10 原子分子物理学 原子与分子理论 12 原子光谱学 12 分子光谱学 10 波谱学 10 原子与分子碰撞过程 10 玻色—爱因斯坦凝聚和冷原 11 子物理 原子核物理学 核结构 12 核能谱学 10 低能核反应 10 中子物理学 10 裂变物理学 10 聚变物理学 10 轻粒子核物理学 10 重离子核物理学 3 中高能核物理学 13 高能物理学 宇宙线物理学 10 粒子加速器物理学 2 粒子宇宙学 10 5/14 建议从何类单位增补专家及对应增补人数 高校或研究所10 高校或研究所10 高校或研究所10 高校或研究所6 高校或研究所8,企业2 高校或研究所6 高校或研究所10 高校或研究所10 高校或研究所6 高校或研究所11 高校或研究所12 高校或研究所12 高校或研究所15 高校或研究所3 高校或研究所11 高校或研究所15 高校或研究所5 高校或研究所15 高校或研究所13 高校或研究所15 高校或研究所10 高校或研究所12 高校或研究所12 高校或研究所10 高校或研究所10 高校或研究所10 高校或研究所11 高校或研究所12 高校或研究所10 高校或研究所10 高校或研究所10 高校或研究所10 高校或研究所10 高校或研究所10 高校2,企业1 高校或研究所10,企业3 高校或研究所10 高校或研究所2 高校或研究所10 学科代码 14080 14085 14090 150 15015 1501510 1501530 1501560 15020 1502075 15025 1502525 1502545 1502560 15030 1503010 1503015 1503020 1503040 15035 15045 1504510 1504560 15050 15065 1506520 160 16015 1601510 1601520 1601530 1601540 1601550 1601560 16020 1602010 1602020 1602050 16025 1602510 1602520 1602530 16030 1603020 1603030 1603040 学科名称 应用物理学 工程物理学 同步辐射及实验技术 化学 无机化学 元素化学 同位素化学 无机分离化学 有机化学 金属有机光化学 分析化学 波谱分析 光度分析 分析化学计量学 物理化学 化学热力学 化学动力学 结构化学 热化学 化学物理学 高分子化学 无机高分子化学 高分子无机化学 核化学 材料化学 碳化学 天文学 天体力学 摄动理论 天体力学定性理论 天体形状与自转理论 天体力学数值方法 天文动力学 历书天文学 天体物理学 理论天体物理学 相对论天体物理学 实测天体物理学 宇宙化学 空间化学 天体元素学 月球与行星化学 天体测量学 基本天体测量学 照相天体测量学 射电天体测量学 需增补专家总数 4 14 10 建议从何类单位增补专家及对应增补人数 高校或研究所4 高校或研究所14 高校或研究所10 15 20 16 高校或研究所15 高校或研究所20 高校或研究所16 12 高校或研究所12 14 16 11 高校或研究所14 高校或研究所16 高校或研究所11 11 9 8 16 16 高校或研究所11 高校或研究所9 高校或研究所8 高校或研究所16 高校或研究所16 11 18 40 高校或研究所11 高校或研究所18 高校或研究所40 16 高校或研究所16 10 10 6 10 10 6 高校或研究所10 高校或研究所10 高校或研究所6 高校或研究所10 高校或研究所10 高校或研究所6 10 10 2 高校或研究所10 高校或研究所10 高校或研究所2 6 6 6 高校或研究所6 高校或研究所6 高校或研究所6 10 10 6 高校或研究所10 高校或研究所10 高校或研究所6 6/14 学科代码 1603050 1603060 1603070 16035 1603510 1603520 16040 1604010 1604020 1604030 1604040 1604050 16045 16050 1605010 1605020 1605030 1605040 1605050 1605060 1605070 16055 1605510 1605520 1605530 1605540 1605550 16060 1606020 1606030 1606040 1606050 1606060 1606070 1606080 16065 16070 16075 1607510 1607520 1607530 1607540 170 17020 1702020 1702025 学科名称 需增补专家总数 空间天体测量学 6 方位天文学 6 实用天文学 10 射电天文学 射电天体物理学 13 射电天文方法 5 空间天文学 红外天文学 6 紫外天文学 10 X射线天文学 10 Y射线天文学 6 中微子天文学 6 天体演化学 10 星系与宇宙学 星系动力学 6 星系天文学 10 运动宇宙学 6 星系际物质 6 大爆炸宇宙论 6 星系形成与演化 10 宇宙大尺度结构起源与演化 10 恒星与银河系 恒星物理学 6 恒星天文学 6 恒星形成与演化 6 星际物质物理学 6 银河系结构与运动 6 太阳与太阳系 太阳系物理学 6 太阳系形成与演化 6 行星物理学 6 行星际物理学 6 陨星学 6 比较行星学 6 月球科学 6 天体生物学 6 天文地球动力学 10 时间测量学 时间尺度 6 时间测量与方法 6 守时理论 6 授时理论与方法 6 地球科学 固体地球物理 地球流体力学 15 地壳与地形 12 7/14 建议从何类单位增补专家及对应增补人数 高校或研究所6 高校或研究所6 高校或研究所10 高校或研究所13 高校或研究所5 高校或研究所6 高校或研究所10 高校或研究所10 高校或研究所6 高校或研究所6 高校或研究所10 高校或研究所6 高校或研究所10 高校或研究所6 高校或研究所6 高校或研究所6 高校或研究所10 高校或研究所10 高校或研究所6 高校或研究所6 高校或研究所6 高校或研究所6 高校或研究所6 高校或研究所6 高校或研究所6 高校或研究所6 高校或研究所6 高校或研究所6 高校或研究所6 高校或研究所6 高校或研究所6 高校或研究所10 高校或研究所6 高校或研究所6 高校或研究所6 高校或研究所6 高校或研究所15 高校或研究所12 学科代码 1702035 1702040 1702045 1702050 1702055 1702075 17025 1702550 17030 1703020 1703035 1703055 1703060 17035 1703510 1703520 1703530 1703549 17045 1704511 17050 1705011 1705017 1705074 1705084 17055 1705510 1705515 1705520 1705525 1705530 1705535 1705540 1705545 1705555 17060 1706075 180 18014 1801420 18017 1801735 1801765 18057 1805757 18021 学科名称 地声学 地热学 地电学 地磁学 放射性与地球物理 实验地球学 空间物理学 空间环境学 地球化学 放射性地球化学 地球内部化学 地球实验化学 能源地球化学 大地测量学 地球形状学 几何测量学 动力测量 空间测量 地理学 生物地理学 地质学 数学地质学 动力地质学 火山学 实验地质学 水文学 水文物理 水文化学 水文地理 水文气象 水文测量 水文图学 湖沼学 河流学与河口 区域水文 海洋科学 海洋资源学 生物学 生物物理学 理论生物物理学 生物化学 膜生物化学 应用生物化学 动物学 动物分类学 细胞生理学 需增补专家总数 10 15 10 5 10 5 建议从何类单位增补专家及对应增补人数 高校或研究所10 高校或研究所15 高校或研究所10 高校或研究所5 高校或研究所10 高校或研究所5 8 高校或研究所8 12 8 9 12 高校或研究所12 高校或研究所8 高校或研究所9 高校或研究所12 8 9 5 5 高校或研究所8 高校或研究所9 高校或研究所5 高校或研究所5 6 高校或研究所6 6 9 9 9 高校或研究所6 高校或研究所9 高校或研究所9 高校或研究所9 10 10 9 10 12 13 12 10 9 高校或研究所10 高校或研究所10 高校或研究所9 高校或研究所10 高校或研究所12 高校或研究所13 高校或研究所12 高校或研究所10 高校或研究所9 8 高校或研究所8 16 高校或研究所16 19 15 高校或研究所19 高校或研究所15 15 高校或研究所15 8/14 学科代码 1802150 1802160 18037 1803720 1803730 18039 1803910 210 21040 2104050 21070 2107045 220 22015 2201510 310 31031 31037 3103710 3103720 3103730 3103740 31044 3104410 3104440 3104450 3104460 3104470 3104480 31051 31054 31057 320 32067 3206760 350 35010 3501020 35030 35035 3503510 3503520 3503540 35041 3504130 3504150 学科名称 细胞免疫学 细胞病理学 分子生物学 核糖核酸组学 蛋白质组学 专题生物学研究 水生生物学 农业科学技术 园艺学 茶学 农业工程 农业区划 林业科学技术 林木育种技术 林木选育 基础医学 放射医学 医学寄生虫学 医学寄生虫免疫学 医学昆虫学 医学蠕虫学 医学原虫学 病理学 病理生物学 免疫病理学 实验病理学 比较病理学 系统病理学 环境病理学 医学实验动物学 医学心理学 医学统计学 临床医学 肿瘤学 肿瘤预防学 药学 药物化学 无机药物化学 放射性药物学 药剂学 调剂学 气溶剂 迟效制剂 药理学 生化药理学 免疫药理学 需增补专家总数 12 14 建议从何类单位增补专家及对应增补人数 高校或研究所12 高校或研究所14 15 10 高校或研究所15 高校或研究所10 15 高校或研究所15 10 10 10 15 高校或研究所15 15 10 10 10 高校或研究所15 高校或研究所10 高校或研究所10 高校或研究所10 15 18 13 6 10 10 14 17 15 高校或研究所15 高校或研究所14,企业4 高校或研究所13 高校或研究所6 高校或研究所10 高校或研究所10 高校或研究所14 高校或研究所17 高校或研究所15 10 高校或研究所10 10 10 高校或研究所10 高校或研究所10 13 10 2 高校或研究所13 高校或研究所10 企业2 10 14 高校或研究所10 高校或研究所14 9/14 学科代码 35043 3504310 3504320 3504330 3504340 35045 35050 355 35515 35520 35545 360 36010 3601064 36040 3604020 413 41310 4131015 4131020 41315 4131510 4131520 4131530 418 41820 41830 41840 41890 41895 420 42050 430 43010 4301010 4301020 4301035 4301040 4301050 4301060 43030 43040 4304040 43050 4305040 43055 学科名称 毒物学(毒理学) 毒物分析及鉴定 毒物生理及化学作用 无机毒物 有机毒物 药物管理学 药物统计学 生物工程 细胞工程 蛋白质工程 生物传感技术 中医学与中药学 中医学 方剂学 中药学 本草学 自动控制科学技术 控制科学与技术 指挥与控制系统工程 控制系统仿真技术 仿真科学技术 仿真科学技术基础学科 仿真建模理论与技术 仿真系统理论与技术 生物医学工程 临床医学工程 康复工程 生物医学测量技术 制药器械与设备 生物芯片技术 测绘科学技术 海洋测绘 材料科学 材料科学基础学科 材料力学 相图与相变 计算材料学 金属学 陶瓷学 高分子材料学 材料实验 金属材料 低维金属材料 有机高分子材料 高分子液晶材料 复合材料 需增补专家总数 建议从何类单位增补专家及对应增补人数 14 13 6 6 6 8 高校或研究所14 高校或研究所13 高校或研究所6 高校或研究所6 高校或研究所6 高校或研究所8 4 2 7 高校 高校 高校 14 高校或研究所14 10 高校或研究所8,企业2 12 17 高校或研究所12 高校或研究所17 10 10 14 高校或研究所10 高校或研究所9,企业1 高校或研究所12,企业2 3 8 2 8 1 研究院所 研究院所 研究院所 研究院所 研究院所 5 国家海洋局2/山东科技大学1/东华理工大学 1/上海海洋大学1 10 10 10 14 10 10 6 高校或研究所10 高校或研究所10 高校或研究所10 高校或研究所14 高校或研究所10 高校或研究所8,企业2 高校或研究所6 10 高校或研究所10 10 高校或研究所10 10/14 学科代码 4305540 4305550 43060 4306010 4306020 450 45010 45015 45025 4502510 4502520 4502530 4502540 45030 4503020 4503025 4503030 4503040 4503045 4503050 4503091 460 46015 4601530 46020 4602030 4602040 46025 4602525 4602540 4602545 470 47010 4701050 47020 4702010 4702030 4702040 47030 4703050 47036 4703620 4703625 4703630 4703635 4703640 学科名称 需增补专家总数 有机-无机杂化复合材料 14 生物复合材料 10 生物材料 组织工程材料 10 医学工程材料 11 冶金工程技术 冶金物理化学 12 冶金反应工程 6 冶金热能工程 冶金燃料 6 燃烧理论 10 燃烧计算 10 冶金分析 6 冶金技术 真空冶金 10 电磁冶金 10 原子能冶金 6 纤维冶金 6 卤素冶金 6 微生物冶金 10 电化学冶金 10 机械工程 机械学 机械强度 3 机械设计 机械公差、配合与技术测量 10 机械制图 10 机械制造工艺与设备 热处理工艺与设备 14 机器装配工艺 11 非金属加工工艺 17 动力与电气工程 工程热物理 微尺度热物理学 14 热工学 热工测量与仪器仪表 10 供热工程 16 工业锅炉 10 动力机械工程 微动力工程 6 发电工程 风力发电工程 10 地热发电工程 10 太阳能发电工程 10 原子能发电工程 10 余热发电工程 10 11/14 建议从何类单位增补专家及对应增补人数 高校或研究所14 高校或研究所10 高校或研究所10 高校或研究所9,企业2 高校或研究所12 高校或研究所6 高校或研究所6 高校或研究所10 高校或研究所10 高校或研究所6 高校或研究所8,企业2 高校或研究所10 高校或研究所6 高校或研究所6 高校或研究所6 高校或研究所10 高校或研究所10 高校或研究所3 高校或研究所10 高校或研究所10 高校或研究所14 高校或研究所11 高校或研究所17 高校或研究所14 高校或研究所7,企业3 高校或研究所12,企业4 高校或研究所6,企业4 高校或研究所6 高校或研究所10 高校或研究所10 高校或研究所8,企业2 高校或研究所10 高校或研究所10 学科代码 47037 4703720 4703730 4703740 47040 4704011 4704014 4704017 4704021 4704025 4704041 4704044 4704061 4704064 4704067 4704071 4704073 4704075 4704079 4704081 4704083 510 51010 5101030 5101040 5101045 5101055 5101065 51013 5101310 5101320 5101330 5101340 5101350 51020 5102010 5102015 5102020 5102025 5102035 51030 5103010 5103045 51050 5105010 5105025 学科名称 需增补专家总数 可再生能源利用 沼气能利用技术 13 潮汐能利用技术 10 地热能利用技术 10 电气工程 电工学 18 电路理论 19 电磁测量技术及其仪器 15 电工材料 16 电源技术 14 电热与高频技术 10 超导电工技术 14 用电技术 10 电加工技术 6 脉冲功率技术 10 放电理论与发电等离子体技 10 术 电磁环境与电磁兼容 14 生物与医学电工技术 10 分布式电力技术 10 电气化交通技术 10 强磁场技术 10 电子与通信技术 电子技术 敏感电子学 12 仿真技术 18 超导电子技术 17 电子束、离子束技术 10 生物电子技术 10 真空电子技术 电子管技术 10 微波电子管技术 14 气体放电器件、离子管技术 10 电子束器件、X射线管、阴极 10 射线管技术 光电器件、光电管技术 10 光电子学与激光技术 红外技术及仪器 6 微光、夜视技术及仪器 16 紫外技术及仪器 10 平板显示技术 11 全息技术 10 半导体技术 半导体测试技术 10 半导体加工技术 10 通信技术 有线通信技术 13 通信传输技术 12 12/14 建议从何类单位增补专家及对应增补人数 高校或研究所10,企业3 高校或研究所10 高校或研究所10 高校或研究所14,企业4 高校或研究所19 高校或研究所15 高校或研究所16 高校或研究所10,企业4 高校或研究所10 高校或研究所14 高校或研究所8,企业2 高校或研究所6 高校或研究所10 高校或研究所10 高校或研究所14 高校或研究所10 高校或研究所10 高校或研究所10 高校或研究所10 高校或研究所12 高校或研究所14,企业4 高校或研究所17 高校或研究所10 高校或研究所10 高校或研究所10 高校或研究所14 高校或研究所10 高校或研究所10 高校或研究所8,企业2 高校或研究所6 高校或研究所16 高校或研究所10 高校或研究所11 高校或研究所10 高校或研究所8,企业2 高校或研究所6,企业4 高校或研究所11,企业2 高校或研究所12 学科代码 5105035 5105040 520 52010 5201010 5201020 5201030 5201050 5201060 52020 5202030 5202050 5202060 52030 5203050 52040 5204030 5204040 52050 5205010 5205020 5205030 5205040 5205050 5205060 52060 5206020 52070 5207015 5207020 5207030 5207035 5207040 5207045 560 56030 5603020 5603030 56035 5603510 5603520 5603550 5603560 5603570 570 57045 学科名称 需增补专家总数 通信终端技术 11 电信 12 计算机科学技术 计算机科学技术基础学科 自动机理论 10 可计算性理论 10 计算机可靠性理论 10 数据结构 10 数据安全与计算机安全 10 人工智能 机器翻译 10 计算机感知 15 计算机神经网络 12 计算机系统结构 计算机运行测试与性能评价 10 计算机软件 程序设计及其语言 14 编译系统 10 计算机工程 计算机元器件 10 计算机处理器技术 10 计算机存储技术 10 计算机外围设备 10 计算机制造与检测 10 计算机高密度组装技术 10 计算机应用 计算机仿真 12 信息安全技术 安全协议 10 系统安全 4 软件安全 10 信息隐藏 10 安全测评 10 信息安全工程 12 土木建筑工程 土木工程结构 薄壳结构 10 悬索与张拉结构 11 土木建筑结构 木结构 17 砖结构 17 喷锚结构 18 复合结构 16 特种结构 18 水利工程 河流泥沙工程学 13/14 建议从何类单位增补专家及对应增补人数 高校或研究所11 高校或研究所9,企业3 高校或研究所10 高校或研究所10 高校或研究所10 高校或研究所10 高校或研究所10 高校或研究所10 高校或研究所15 高校或研究所12 高校或研究所10 高校或研究所14 高校或研究所10 高校或研究所10 高校或研究所10 高校或研究所10 高校或研究所7,企业3 高校或研究所6,企业4 高校或研究所10 高校或研究所12 高校或研究所10 高校或研究所4 高校或研究所8,企业2 高校或研究所10 高校或研究所10 高校或研究所12 高校或研究所10 高校或研究所11 高校或研究所13,企业4 高校或研究所14,企业3 高校或研究所18 高校或研究所16 高校或研究所18 学科代码 5704520 610 61010 6101010 6101020 6101025 6101045 61020 6102070 615 61560 617 61750 780 78030 78070 870 87040 学科名称 需增补专家总数 建议从何类单位增补专家及对应增补人数 河工学 15 高校或研究所12,企业3 环境科学技术 环境科学基础 环境物理学 9 高校或研究所9 环境生物学 10 高校或研究所10 环境气象学 9 高校或研究所9 自然环境保护学 8 高校或研究所8 环境学 沙漠化与沙漠防治 8 高校或研究所8 自然资源调查与利用科学技 术 国家海洋局/中科院海洋所、南海海洋所/中 海洋工程与技术 30 国海洋大学/上海交通大学/大连理工大学 自然灾害与天气监测技术 …… 中国气象局/中国气象科学研究院/教育部相 大气监测预报 15 关院校 考古学与文物保护 考古技术 10 文物保护 10 图书馆、情报与文献学 档案学与档案保护技术 10 14/14

相关文章