免征车辆购置税的新能源汽车车型目录(第十二批).pdf
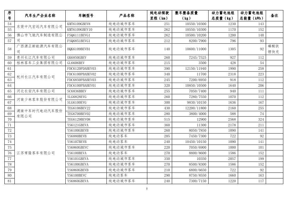
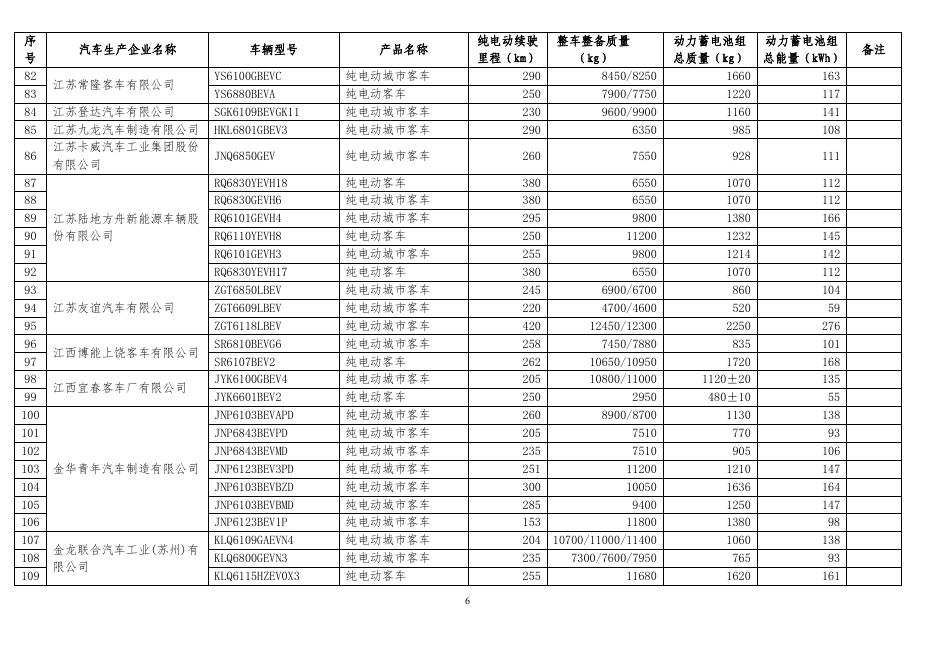
附件 1 免征车辆购置税的新能源汽车车型目录(第十二批) 一、 纯电动汽车 (一)乘用车 序号 汽车生产企业名称 1 2 3 4 5 6 7 8 9 10 11 12 13 14 15 16 17 18 19 20 21 22 安徽猎豹汽车有限公司 北京汽车股份有限公司 北京新能源汽车股份有限公司 北汽福田汽车股份有限公司 比亚迪汽车有限公司 车辆型号 LBA6450AABEV BJ7001U5E1-BEV BJ7001BPH8-BEV BJ6425EVAA2 BYD6460SBEV3 DFM7000G1F4BEV DFM7000G1F3BEV 东风汽车公司 DFM7000G1F2BEV DFA7000G1F4BEV 东风裕隆汽车有限公司 DYM7009ABBEV 福建省汽车工业集团云度新能源 YDE7000BEV1B 汽车股份有限公司 YDE7000BEV1C 合肥长安汽车有限公司 SC7004CABEV 河北红星汽车制造有限公司 HX6307YBEV YGM6371BEV YGM6351BEV 河北御捷车业有限公司 YGM6372BEV YGM6352BEV JNJ7000EVX18 JNJ7000EVK5 湖南江南汽车制造有限公司 JNJ7000EVX19 JNJ7000EVA9 通用名称 C5BEV ET400 EC180 纯电动多用途乘用车 比亚迪宋 EV E70 E70 E70 E17 裕路 EV2 π1 π1 CS15EV 纯电动运动型乘用车 E行 E骋 E行 E骋 云 100S E200 云 100S T11 1 纯电动续驶 里程(km) 整车整备质 量(kg) 250 350 156 185 270 351 351 351 290 150 250 150 300 155 153 150 153 150 155 165 255 150 1490 1762 1050 1380 2110 1564 1564 1564 1670 1065 1410 1310 1530 980/1030 1125 1060 1125 1060 1040 1080 1075 710 动力蓄电池组 动力蓄电池组 备注 总质量(kg) 总能量(kWh) 350 450 206 302 505 387 387 387 408 179 324 267 342 169 182 167 179 174 174 200 226 118 36 62 22 31 48 49 49 49 49 22 39 24 43 21 22 20 22 21 21 25 28 15 序号 23 24 25 26 27 28 29 30 31 32 33 34 35 36 37 38 39 40 41 42 43 44 45 46 47 48 49 50 汽车生产企业名称 车辆型号 JX70015BEV 江铃控股有限公司 JX70021BEV JX70020BEV 江苏卡威汽车工业集团股份有限 JNQ6340BEV 公司 JNQ6450BEV CH7000BEVH2CB 江西昌河铃木汽车有限责任公司 CH7000BEVH2CA 江西昌河汽车有限责任公司 CH7005BEVA2CC SQR7000BEVJ721 奇瑞汽车股份有限公司 SQR7000BEVJ722 山西成功汽车制造有限公司 SCH6431BEV 一汽海马汽车有限公司 HMC7000LH0BEV HQ7002BEV17 HQ7002BEV12 HQ7002BEV20 HQ7002BEV05 浙江豪情汽车制造有限公司 HQ7002BEV15 HQ7002BEV21 HQ7002BEV10 HQ7002BEV11 MR7002BEV08 浙江吉利汽车有限公司 MR7002BEV13 MR7002BEV14 郑州日产汽车有限公司 ZN6451V1YBEV 中国第一汽车集团公司 CA7001EVB SC7001AGBEV 重庆长安汽车股份有限公司 SC7001AKBEV SC7004CBBEV 通用名称 E200 E400 E400 纯电动多用途乘用车 纯电动多用途乘用车 EC180 EC180 北斗星 E 奇瑞 eQ1 奇瑞 eQ1 成功汽车 V2E 爱尚 EV 帝豪 GSE400 帝豪 EV 帝豪 EV 帝豪 EV 帝豪 GSE400 帝豪 EV 帝豪 EV 帝豪 EV 帝豪 EV 帝豪 EV 帝豪 EV 纯电动多用途乘用车 奔腾 B30EVMT 奔奔 EV 奔奔 EV CS15EV 2 纯电动续驶 里程(km) 整车整备质 量(kg) 152 252 152 180 350 156 156 165 251 185 233 151 353 300 400 400 353 400 400 300 400 400 300 270 170 251 180 300 950 1490 1360 980 1770 1058 1050 980 985 880/900 1340 950 1635 1575 1595 1595 1635 1595 1595 1575 1595 1595 1575 1680 1450 1240 1240 1530 动力蓄电池组 动力蓄电池组 备注 总质量(kg) 总能量(kWh) 148 305 200 179 432 199 198 198 268 179 318 160 384 354 382 384 384 384 382 354 384 382 354 390 285 240 187 342 18 41 26 24 63 20 20 20 32 22 39 18 52 44 50 52 52 52 50 44 52 50 44 49 32 31 22 43 (二)客车 序 号 1 2 3 4 5 6 7 8 纯电动城市客车 纯电动城市客车 纯电动城市客车 纯电动城市客车 纯电动城市客车 纯电动城市客车 纯电动城市客车 纯电动城市客车 纯电动续驶 里程(km) 325 260 630 240 680 690 265 107 整车整备质量 (kg) 7000/7350 6800/7200 11750/12400 11500/12200 13100/13500 13900 7180/7400 7980/8200 安徽安凯汽车股份有限公司 9 安庆安达尔汽车制造有限公 司 AAQ6106EVG 纯电动城市客车 260 9900/9700 1208 142 PK6853BEV PK6801BEV ND6111BEV00 ND6822BEV00 ND6104BEV00 BFC6109GBEV2 BFC6129GBEVS1 BJ6830C01EV BJ6821B11EV BJ6821B21EV 纯电动城市客车 纯电动城市客车 纯电动城市客车 纯电动城市客车 纯电动城市客车 纯电动城市客车 纯电动城市客车 纯电动客车 纯电动城市客车 纯电动城市客车 232 210 286 201 210 225 227 290 210 330 8790 8235 10350/10700 7700/7900 10220/10600 10700/11000 12900 6700 7400/7700 8100/8400 104 104 141 94 142 138 138 93 93 144 20 BJ6851EVCA-16 纯电动城市客车 436/499 9000/9200 21 22 23 BJ6105EVCA-22 BJ6103EVUA-3 BJ6805EVCA-16 纯电动城市客车 纯电动客车 纯电动城市客车 290/322 11000/11500/12000 390 10900/11500 283 7200/7500 BJ6805EVCA-17 纯电动城市客车 383/402 1102 1102 1177 808 1207 1060 1171 770 800 1425 1540/1728 /1518/1712 1468/1616 1800 1061 1061/1180 /1009/1142 10 11 12 13 14 15 16 17 18 19 24 汽车生产企业名称 安徽星凯龙客车有限公司 安源客车制造有限公司 北奔重型汽车集团有限公司 北京北方华德尼奥普兰客车 股份有限公司 北汽(常州)汽车有限公司 北汽福田汽车股份有限公司 车辆型号 产品名称 HFF6800G03EV61 HFF6800G03EV73 HFF6100G03EV-7 HFF6129G03EV-43 HFF6124G03EV3 HFF6129G03EV-45 HFX6816BEVG11 HFX6850BEVG13 3 7200/7500 动力蓄电池组 动力蓄电池组 备注 总质量(kg) 总能量(kWh) 1065 108 765 93 2340 304 1171 138 2568 324 2768 332 808 94 850 46 钛酸锂 189/216 182/203 178 104 131/147 序 号 25 26 27 28 29 30 31 32 33 34 35 36 37 38 39 40 41 42 43 44 45 46 47 48 49 50 51 52 53 汽车生产企业名称 北汽福田汽车股份有限公司 比亚迪汽车工业有限公司 成都大运汽车集团有限公司 成都客车股份有限公司 大汉汽车集团有限公司 丹东黄海汽车有限责任公司 东风汽车公司 东风特种汽车有限公司 东莞中汽宏远汽车有限公司 车辆型号 产品名称 BJ6105EVCA-21 BJ6802EVUA-6 BYD6100HGEV1 BYD6120LLEV3 BYD6120LLEV4 BYD6121LGEV5 BYD6700HZEV BYD6810HZEV3 BYD6650HZEV2 BYD6100LSEV2 CGC6806BEV1EACJHACM CGC6106BEV1EAEJLAWM CGC6800BEV1K1 CGC6801BEV1K2 CGC6100BEV1K1 CGC6800BEV1K2 CGC6841BEV1K1 CGC6801BEV1K3 CGC6101BEV1K1 CDK6116CBEV2 CDK6116CBEV1 CKY6820BEVG CKY6810BEVG CKY6690BEVG DD6100EV2 DD6800EV1 EQ6800CACBEV7 EQ6830CTBEV11 KMT6860GBEV8 纯电动城市客车 纯电动客车 纯电动城市客车 纯电动客车 纯电动客车 纯电动城市客车 纯电动城市客车 纯电动城市客车 纯电动城市客车 纯电动双层城市客车 纯电动城市客车 纯电动城市客车 纯电动城市客车 纯电动城市客车 纯电动城市客车 纯电动城市客车 纯电动城市客车 纯电动城市客车 纯电动城市客车 纯电动城市客车 纯电动城市客车 纯电动城市客车 纯电动城市客车 纯电动城市客车 纯电动城市客车 纯电动城市客车 纯电动城市客车 纯电动城市客车 纯电动城市客车 纯电动续驶 里程(km) 565 252 340 525 360 340 360 330 290/252 310 270 290 250 255 250 250 255 251 320 250 255 230 250 200 360 320 280 251 295 4 整车整备质量 (kg) 12400/12800 8000/8470 9100 13500 12600 11900 6600 8000 6000/5850 11950 7300 11000 5940 6150 9460 7100/7300 7800 7300 11000 10200 10200 7500 5800 5200 8900/9200 7600/7900 6450/6710 7400 8800/8550 动力蓄电池组 动力蓄电池组 总质量(kg) 总能量(kWh) 2424 304 1061 104 1260 146 2435 284 1680 196 1560 197 1219 127 1325 138 960/800 92/77 1584 184 1266 125 1711 173 832 97 760 92 1160 138 833 97 1110 111 759 95 1750 190 1478 170 1512 184 760±22 92 760±22 92 575 69 1518 189 1060 138 1085 111 860 104 1029 129 备注 序 号 54 55 56 57 58 59 60 61 62 63 64 65 66 67 68 69 70 71 72 73 74 75 76 77 78 79 80 81 汽车生产企业名称 东莞中汽宏远汽车有限公司 佛山市飞驰汽车制造有限公 司 广西源正新能源汽车有限公 司 贵州长江汽车有限公司 桂林客车工业集团有限公司 杭州长江汽车有限公司 河北长安汽车有限公司 河南少林客车股份有限公司 湖南中车时代电动汽车股份 有限公司 江苏常隆客车有限公司 纯电动城市客车 纯电动城市客车 纯电动城市客车 纯电动城市客车 纯电动续驶 里程(km) 251 262 262 212 整车整备质量 (kg) 10550/10300 10550/10300 10500/10200 8200/7900 HQK6109BEVB1 纯电动城市客车 140 10600/11000 1305 92 GK6850GBEV GL6606BEV FDC6120PDABEV03 FDC6100PBABEV02 FDC6850PBABEV03 FDC6100PBABEV01 SC6836BBEV SLG6828EVG SLG6100EVG TEG6106BEV22 TEG6700BEV02 TEG6129BEV08 YS6121GBEVA YS6100GBEVB YS6880BEVB YS6107BEVB YS6860GBEVC YS6100BEVA YS6101GBEVA YS6100GBEVA YS6860GBEVB YS6100BEVC YS6860GBEVA 纯电动城市客车 纯电动城市客车 纯电动城市客车 纯电动城市客车 纯电动城市客车 纯电动城市客车 纯电动城市客车 纯电动城市客车 纯电动城市客车 纯电动城市客车 纯电动城市客车 纯电动城市客车 纯电动城市客车 纯电动城市客车 纯电动客车 纯电动客车 纯电动城市客车 纯电动客车 纯电动城市客车 纯电动城市客车 纯电动城市客车 纯电动客车 纯电动城市客车 260 215 390 340 245 320 255 260 300 430 280 515 360 260 205 240 220 270 350 270 210 290 240 7245/7525 3500 12150/11940 11700 7200/6950 10850/10500 7050/7400 7280/7550 9830/10150 12200/11800 3800/4000 12900 11300 8050/7850 7450/7300 10450/10150 7050/6900 8800/8600 10350 8500/8300 6800/6650 8750/8550 7300/7150 927 428 1990 2318 918 1640 940 1070 1636 2160 588 2568 2178 1090 722 1090 1000 1586 2057 1586 722 1660 1220 112 54 258 223 112 206 111 112 167 255 74 324 211 141 92 141 101 152 199 152 92 163 117 车辆型号 产品名称 KMT6109GBEV8 KMT6109GBEV10 FSQ6111BEVG1 FSQ6851BEVG1 5 动力蓄电池组 动力蓄电池组 总质量(kg) 总能量(kWh) 1230 143 1170 152 1200 140 796 93 备注 磷酸铁 锂快充 序 号 82 83 84 85 86 87 88 89 90 91 92 93 94 95 96 97 98 99 100 101 102 103 104 105 106 107 108 109 汽车生产企业名称 江苏常隆客车有限公司 江苏登达汽车有限公司 江苏九龙汽车制造有限公司 江苏卡威汽车工业集团股份 有限公司 江苏陆地方舟新能源车辆股 份有限公司 江苏友谊汽车有限公司 江西博能上饶客车有限公司 江西宜春客车厂有限公司 金华青年汽车制造有限公司 金龙联合汽车工业(苏州)有 限公司 纯电动城市客车 纯电动客车 纯电动城市客车 纯电动城市客车 纯电动续驶 里程(km) 290 250 230 290 整车整备质量 (kg) 8450/8250 7900/7750 9600/9900 6350 JNQ6850GEV 纯电动城市客车 260 7550 928 111 RQ6830YEVH18 RQ6830GEVH6 RQ6101GEVH4 RQ6110YEVH8 RQ6101GEVH3 RQ6830YEVH17 ZGT6850LBEV ZGT6609LBEV ZGT6118LBEV SR6810BEVG6 SR6107BEV2 JYK6100GBEV4 JYK6601BEV2 JNP6103BEVAPD JNP6843BEVPD JNP6843BEVMD JNP6123BEV3PD JNP6103BEVBZD JNP6103BEVBMD JNP6123BEV1P KLQ6109GAEVN4 KLQ6800GEVN3 KLQ6115HZEV0X3 纯电动客车 纯电动城市客车 纯电动城市客车 纯电动客车 纯电动城市客车 纯电动客车 纯电动城市客车 纯电动城市客车 纯电动城市客车 纯电动城市客车 纯电动客车 纯电动城市客车 纯电动客车 纯电动城市客车 纯电动城市客车 纯电动城市客车 纯电动城市客车 纯电动城市客车 纯电动城市客车 纯电动城市客车 纯电动城市客车 纯电动城市客车 纯电动客车 380 6550 380 6550 295 9800 250 11200 255 9800 380 6550 245 6900/6700 220 4700/4600 420 12450/12300 258 7450/7880 262 10650/10950 205 10800/11000 250 2950 260 8900/8700 205 7510 235 7510 251 11200 300 10050 285 9400 153 11800 204 10700/11000/11400 235 7300/7600/7950 255 11680 1070 1070 1380 1232 1214 1070 860 520 2250 835 1720 1120±20 480±10 1130 770 905 1210 1636 1250 1380 1060 765 1620 112 112 166 145 142 112 104 59 276 101 168 135 55 138 93 106 147 164 147 98 138 93 161 车辆型号 产品名称 YS6100GBEVC YS6880BEVA SGK6109BEVGK11 HKL6801GBEV3 6 动力蓄电池组 动力蓄电池组 总质量(kg) 总能量(kWh) 1660 163 1220 117 1160 141 985 108 备注 序 号 110 111 112 113 114 115 116 117 118 119 120 121 122 123 124 125 126 127 128 129 130 131 132 133 134 135 136 137 138 汽车生产企业名称 金龙联合汽车工业(苏州)有 限公司 辽宁乾丰专用车有限公司 南京金龙客车制造有限公司 南京市公共交通车辆厂 奇瑞万达贵州客车股份有限 公司 车辆型号 产品名称 KLQ6802GEVN1 KLQ6800GEVN4 KLQ6832GEVW1 KLQ6109GAEVW3 KLQ6601GBEVX6 KLQ6800GEVW2 KLQ6109GAEVN5 QF6801EVG QF6101EVG NJL6806BEV11 NJL6859BEV40 NJL6806BEVG12 NJL6809BEV6 NJL6809BEV13 NJL6806BEV15 NJL6100BEV49 NJL6680BEV25 NJL6129BEV39 NJL6117BEVG1 NJC6850GBEV NJC6805GBEV NJC6105GBEV NJC6101YBEV2 NJC6805GBEV2 NJC6801YBEV3 NJC6850GBEV2 NJC6105GBEV5 WD6602BEV6 WD6109BEV1 纯电动城市客车 纯电动城市客车 纯电动城市客车 纯电动城市客车 纯电动城市客车 纯电动城市客车 纯电动城市客车 纯电动城市客车 纯电动城市客车 纯电动客车 纯电动城市客车 纯电动城市客车 纯电动城市客车 纯电动城市客车 纯电动客车 纯电动城市客车 纯电动城市客车 纯电动城市客车 纯电动城市客车 纯电动城市客车 纯电动城市客车 纯电动城市客车 纯电动客车 纯电动城市客车 纯电动客车 纯电动城市客车 纯电动城市客车 纯电动客车 纯电动客车 纯电动续驶 整车整备质量 里程(km) (kg) 255 5800/6000 315 8100/7900 232 7900/8150/8290 210 10700/11000/11400 235 3040/3140 215 7950/7600/7300 300 11000/11400/11650 220 7240/7440 300 10640/10940 250 6140 250 8280/8480 250 5940 300 7530/7730 250 7100/7300 250 5900 480 12120 220 6060/6260 500 12840 380 12940 250 8550 250 7500 310 11000 314 11800 250 7500 200 6200 250 8200 360 11200 265 2950 265 10900/11200 7 动力蓄电池组 动力蓄电池组 总质量(kg) 总能量(kWh) 765 93 995 129 800 93 1171 138 513 52 800 93 1468 182 799 92 1636 167 1155 112 800 93 832 97 1160 138 833 97 800 95 2424 304 675 80 2568 324 2120 276 1180 115 1180 115 1720 173 1720 173 800 93 800 93 800 93 2200 230 510 51 1720 168 备注 序 号 139 140 141 142 143 144 145 146 147 148 149 150 151 152 153 154 155 156 157 158 159 160 161 162 163 164 汽车生产企业名称 奇瑞万达贵州客车股份有限 公司 厦门金龙联合汽车工业有限 公司 厦门金龙旅行车有限公司 山东沂星电动汽车有限公司 山西皇城相府宇航汽车制造 有限公司 山西原野汽车制造有限公司 陕西秦星汽车有限责任公司 陕西跃迪新能源汽车有限公 司 上海申龙客车有限公司 上海申沃客车有限公司 深圳市五洲龙汽车股份有限 公司 石家庄中博汽车有限公司 四川野马汽车股份有限公司 纯电动续驶 整车整备质量 里程(km) (kg) 260 10500 201 8050 470 11900/12550 440 9200 250 10300/10800/11300 255 11600/12600/13300 265 11600/12090 248 7380/7830 210 11150/11640 203 7500/7950 260 8050 动力蓄电池组 动力蓄电池组 总质量(kg) 总能量(kWh) 1195 147 759 95 2340 304 1712 216 1008 162 1230 143 1616 203 995 129 1230 143 820 95 960±20 101 车辆型号 产品名称 WD6105BEV11 WD6855BEV1 XMQ6106AGBEVL11 XMQ6850AGBEVL8 XMQ6106AGBEVL9 XMQ6127AGBEVL5 XML6105JEVN0C XML6805JEVN0C XML6105JEVW0C6 XML6805JEVW0C1 SDL6835EVG 纯电动城市客车 纯电动城市客车 纯电动城市客车 纯电动城市客车 纯电动城市客车 纯电动城市客车 纯电动城市客车 纯电动城市客车 纯电动城市客车 纯电动城市客车 纯电动城市客车 SXK6851GBEV5 纯电动城市客车 230 8100 860 104 YYC6129GBEV YYC6107GBEV SYD6100GBEV 纯电动城市客车 纯电动城市客车 纯电动城市客车 265 12450/12800 218 11800/11400 223 10200/10500/10800 1624 1392 1340±20 194 166 161 SQZ6820EV 纯电动城市客车 250 7900/7700 760 92 SLK6803UEBEVJ1 SWB6788BEV06 SWB6128BEV22 纯电动城市客车 纯电动城市客车 纯电动城市客车 205 450 560 8350 7400 12900 765 1142 2568 93 148 324 FDG6853EVG 纯电动城市客车 210 8800 800 93 SQ6858BEVB82 SQ6105BEVB62 SQ6119BEVP61 SQJ6100S1BEV SQJ6101S1BEV SQJ6811S1BEV 纯电动城市客车 纯电动城市客车 纯电动客车 纯电动客车 纯电动城市客车 纯电动城市客车 203 251 251 260 360 330 8800 11400 11200/11800 7800 8050 6120 815 1160 1160 1175 1532 1070 94 136 136 138 166 112 8 备注 序 号 165 166 167 168 169 170 171 172 173 174 175 176 177 178 179 180 181 182 183 184 185 186 车辆型号 产品名称 SQJ6810S2BEV WXB6121GEV2 WXB6100GEV2 WH6801GBEV1 WH6801BEV1 WH6101GBEV JS6108GHBEV17 JS6101GHBEV27 WG6850BEVZR7 WG6110BEVHR8 WG6110BEVHR6 WG6110BEVHR9 WG6120BEVHR8 WG6120BEVHR5 WG6120BEVHR7 WG6850BEVZR9 WG6820BEVHK10 WG6120BEVHR3 TX6830BEV2 TX6100BEV1 TX6831BEV TX6100BEV 纯电动客车 纯电动城市客车 纯电动城市客车 纯电动城市客车 纯电动客车 纯电动城市客车 纯电动城市客车 纯电动城市客车 纯电动城市客车 纯电动城市客车 纯电动城市客车 纯电动城市客车 纯电动城市客车 纯电动城市客车 纯电动城市客车 纯电动城市客车 纯电动城市客车 纯电动城市客车 纯电动城市客车 纯电动城市客车 纯电动城市客车 纯电动城市客车 纯电动续驶 里程(km) 230 492 351 235 235 235 365 285 230 320 330 320 300 300 300 245 280 230 305 248 220 255 187 ZK6845BEVG31 纯电动城市客车 201 188 ZK6125BEVG25 纯电动城市客车 475 5780 13400 12500 6580 6700 10900 10000/10500 8300/8800 8000/8300 12000 12000 11700 12500 12300 12200 8000/8300 8000/8200 12500 8550 10030/10300 7420 10030/10300 7800/8100 /8400/8700 12900 ZK6125BEVG27D 纯电动城市客车 530 190 ZK6119BEVQY51 纯电动客车 191 ZK6119BEVQY53 192 ZK6105BEVG27 189 汽车生产企业名称 四川野马汽车股份有限公司 万向集团公司 武汉客车制造股份有限公司 扬州亚星客车股份有限公司 扬子江汽车集团有限公司 长沙梅花汽车制造有限公司 郑州宇通客车股份有限公司 整车整备质量 (kg) 动力蓄电池组 动力蓄电池组 总质量(kg) 总能量(kWh) 775 93 2660 307 1866 215 768 92 768 92 1171 138 1680 205 1176 141 792 92 1830 174 1711 173 1468 173 1830 174 1724 168 1659 166 812 101 1145 111 1171 138 1500 129 1200 138 794 92 1185 138 820 95 2385 299 12900 2568 324 320 11970 1284 162 纯电动客车 320 11970 1284 162 纯电动城市客车 440 10900/11350/11850 1990 258 9 备注 序 号 纯电动续驶 里程(km) 整车整备质量 (kg) 车辆型号 产品名称 193 ZK6105BEVG29C 纯电动城市客车 475 12000/12500/12900 194 ZK6105BEVG32 纯电动城市客车 305 195 ZK6850BEVG19 纯电动城市客车 201 196 ZK6805BEVG22A 纯电动城市客车 255 197 ZK6105BEVG33 纯电动城市客车 300 198 ZK6805BEVG25 纯电动城市客车 265 ZK6809BEVQZ51 纯电动客车 255 200 ZK6850BEVG11 纯电动城市客车 201 201 ZK6805BEVG23 纯电动城市客车 210 202 ZK6105BEVG35 纯电动城市客车 350 203 ZK6125BEVG31 纯电动城市客车 240 204 ZK6125BEVG25D 纯电动城市客车 420 205 206 207 208 209 210 211 ZK6809BEVQZ52 CA6124URBEV22 LCK6860EVGW LCK6108EVG15 LCK6108EVGM2 LCK6809EVGT1 LCK6723EVGA 纯电动客车 纯电动城市客车 纯电动城市客车 纯电动城市客车 纯电动城市客车 纯电动城市客车 纯电动城市客车 305 282 415 258 290 325 255 199 汽车生产企业名称 郑州宇通客车股份有限公司 中国第一汽车集团公司 中通客车控股股份有限公司 10 10250/10700 /11200/11700 7800/8100 /8400/8700 7100/7400 /7750/8100 10050/10450 /10900/11400 7200/7500 /7800/8150 6600/6800/7150 7650/7950 /8300/8600 7000/7300 /7650/7950 10500/10900 /11350/11750 11490/12000 /10500/11000 11100/11600 /12050/12590 6700/6900/7250 11390/11600 9250/9790 10200/10800 10400/11000 7550/7150 5600/5800 动力蓄电池组 总质量(kg) 动力蓄电池组 总能量(kWh) 2385 299 1412 166 800 93 945 112 1392 166 996 118 765 93 759 95 832 97 1692 200 1230 143 1990 258 887 1822 1608 1346 1711 1100 608 110 177 189 166 173 138 74 备注 序 号 212 213 214 215 216 217 218 219 220 221 222 223 224 225 226 227 228 汽车生产企业名称 中通客车控股股份有限公司 中植一客成都汽车有限公司 重庆五洲龙新能源汽车有限 公司 珠海广通汽车有限公司 珠海市广通客车有限公司 车辆型号 产品名称 LCK6809EVGM4 LCK6122EVG9 LCK6108EVGD1 LCK6809EVGM3 CDL6110LRBEV2 CDL6820URBEV3 CDL6110LRBEV3 WZL6853EVG1 WZL6117EV2 WZL6810EVG GTQ6123BEVBT11 GTZ6859BEVB GTZ6810BEV GTZ6112BEV1 GTZ6819BEVB GTZ6109BEVB1 GTZ6112BEV 纯电动城市客车 纯电动城市客车 纯电动城市客车 纯电动城市客车 纯电动客车 纯电动城市客车 纯电动客车 纯电动城市客车 纯电动客车 纯电动城市客车 纯电动城市客车 纯电动城市客车 纯电动客车 纯电动客车 纯电动城市客车 纯电动城市客车 纯电动客车 纯电动续驶 里程(km) 235 485/530 398 235 280 250 280 260 300 210 135 352/330 242 313 235 293 287 11 整车整备质量 (kg) 7600/7200/6800 13000 10820/11200 7600/7200/6800 11600 8000 9700 9500 12800 6000 13000 9580/9460 6000 11500/11600 7400 10800 11500/11600 动力蓄电池组 动力蓄电池组 备注 总质量(kg) 总能量(kWh) 1155 112 2400/2592 299/324 2160 255 1155 112 1500 184 1120 141 1177 141 1660 163 2160 255 780±20 91 2105 93 钛酸锂 1853/1729 187/175 832 97 1408 166 1120 111 1408 166 1408 166 (三)货车 序 号 汽车生产企业名称 车辆型号 1 比亚迪汽车工业有限公司 BYD111017GBEV1 产品名称 纯电动货车 12 纯电动续驶里 程(km) 整车整备质 量(kg) 动力蓄电池组 总质量(kg) 动力蓄电池组 总能量(kWh) 350 5935 1600 175 备注 (四)专用车 序 号 汽车生产企业名称 1 安庆安达尔汽车制造有限公 司 2 3 4 5 6 7 8 9 10 11 12 13 14 15 16 17 18 19 20 21 22 23 24 25 26 北京华林特装车有限公司 北汽(常州)汽车有限公司 北汽福田汽车股份有限公司 比亚迪汽车工业有限公司 成都大运汽车集团有限公司 成都雅骏汽车制造有限公司 车辆型号 产品名称 纯电动续驶 里程(km) 整车整备质 量(kg) 动力蓄电池组 总质量(kg) 动力蓄电池组 备注 总能量(kWh) AAQ5040XXYEV 纯电动厢式运输车 300 2710 750 80 HLT5030XCCEV HLT5035CTYEV BJ5040XYZCJ01EV BJ5040XJECJ01EV BJ5072ZZZEV-H1 BJ5023XYZEV1 BJ5049XYZEV1 BJ5049XYZEV2 BJ5023XXYEV4 BJ5023XXYEV5 BYD5070CTYBEV BYD5110XXYBEV1 CGC5025XXYBEV1NBBFBAXY CGC5044XXYBEV1CBBJEAGK CGC5044XXYBEV1LBSKEAGY CGC5044XXYBEV1SBBJEAGY CGC5044XXYBEV1LBSKEAGK CGC5025XXYBEV1MBLFBAXL CGC5048XXYBEV2F1 CGC5021XXYBEV1W1 CGC5045XXYBEV1Z1 CGC5045XLCBEV1Z1 CTT5060XLCGJ1BEV CTT5040XXYGJ1BEV CTT5040CCYGC2BEV 纯电动餐车 纯电动桶装垃圾运输车 纯电动邮政车 纯电动环境监测车 纯电动自装卸式垃圾车 纯电动邮政车 纯电动邮政车 纯电动邮政车 纯电动厢式运输车 纯电动厢式运输车 纯电动桶装垃圾运输车 纯电动厢式运输车 纯电动厢式运输车 纯电动厢式运输车 纯电动厢式运输车 纯电动厢式运输车 纯电动厢式运输车 纯电动厢式运输车 纯电动厢式运输车 纯电动厢式运输车 纯电动厢式运输车 纯电动冷藏车 纯电动冷藏车 纯电动厢式运输车 纯电动仓栅式运输车 200 200 285 285 220 185 260 260 185 195 350 350 265 270 211 252 211 265 250 260 230 270 285 255 255 2800 2290 2960 2960 4700/4900 1320 3450 3100 1320 1260 4980 6070 1480 2875 2780 2940 2760 1480 2800 1480 2985 3015 4100 3300 3210 490 490 660 660 735±22 302 735 735 302 302 1282 1600 420 540 472 580 472 450 655 420 698 704 780 745 745 49 49 91 91 83 31 83 83 31 31 145 175 43 67 55 66 55 50 75 44 67 82 90 75 75 13 序 号 27 28 29 30 31 32 33 34 35 36 37 38 39 40 41 42 43 44 45 46 47 48 49 50 51 52 53 54 汽车生产企业名称 成都雅骏汽车制造有限公司 东风汽车公司 福建新龙马汽车股份有限公 司 赣州汽车改装厂 贵州新山地新能源汽车制造 有限公司 河北红星汽车制造有限公司 河北长安汽车有限公司 黑龙江龙华汽车有限公司 湖北三环专用汽车有限公司 车辆型号 CTT5030XBWGC1BEV EQ5023XXYACBEV6 EQ5045XXYTBEV10 EQ5025XXYACBEV1 EQ5045XLCTBEV2 EQ5041XDWACBEV EQ5034XXYACBEV EQ5042XXYACBEV2 EQ5045XXYTBEV7 EQ5023XXYACBEV7 EQ5041XXYACBEV14 FJ5020XXYBEVA15 FJ5020XXYBEVA17 FJ5020XXYBEVA18 FJ5020XXYBEVA19 FJ5020XXYBEVA16 GZQ5030XSHBEV GZQ5041XXYBEV NSD5032ZXXBEV NSD5031CCYBEV NSD5030XXYBEV HX5021XXYVEV HX5041XXYVEV SC5033XXYCBEV SC5033XXYBBEV HLJ5031XXYBEV STQ5046XXYNBEV STQ5181XXYNBEV 产品名称 纯电动保温车 纯电动厢式运输车 纯电动厢式运输车 纯电动厢式运输车 纯电动冷藏车 纯电动流动服务车 纯电动厢式运输车 纯电动厢式运输车 纯电动厢式运输车 纯电动厢式运输车 纯电动厢式运输车 纯电动厢式运输车 纯电动厢式运输车 纯电动厢式运输车 纯电动厢式运输车 纯电动厢式运输车 纯电动售货车 纯电动厢式运输车 纯电动车厢可卸式垃圾 车 纯电动仓栅式运输车 纯电动厢式运输车 纯电动厢式运输车 纯电动厢式运输车 纯电动厢式运输车 纯电动厢式运输车 纯电动厢式运输车 纯电动厢式运输车 纯电动厢式运输车 14 纯电动续驶 里程(km) 180 245 248 220 240 230 210 260 264 226 260 235 235 235 235 220 120 230 整车整备质 量(kg) 1730 1525 3060 1200 3400 3300 1705 2805 3060 1420 3000 1340/1350 1340/1350 1320/1330 1355/1365 1340/1350 1690 3305 动力蓄电池组 动力蓄电池组 备注 总质量(kg) 总能量(kWh) 423 44 380 43 736 78 265±3% 29 625 90 750 80 400 41 680 73 755 80 353 41 684 74 330 37 337 37 308±4 38 348 38 320±5 36 177 22 630 74 250 1380 350 40 250 250 230 280 210 210 146 290 100 1290 1510 1390 2995 1730 1670 2250 3370 8700 350 350 280 684 420 420 380 622 1330 40 40 34 73 46 46 44 79 130 序 号 55 56 57 58 59 60 61 62 63 64 65 66 67 68 69 70 71 72 73 74 75 76 77 78 79 汽车生产企业名称 湖北三环专用汽车有限公司 湖南中车时代电动汽车股份 有限公司 淮安市苏通市政机械有限公 司 吉利四川商用车有限公司 江苏奥新新能源汽车有限公 司 江苏卡威汽车工业集团股份 有限公司 江西昌河汽车有限责任公司 江西宜春客车厂有限公司 金龙联合汽车工业(苏州)有 限公司 昆明客车制造有限公司 南京金龙客车制造有限公司 纯电动续驶 里程(km) 100 100 整车整备质 量(kg) 12500 6940 300 3000 750 80 120/140 1680 210 23 300 3450 847 76 JAX5027XXYBEVF266LB15M2X1 纯电动厢式运输车 260 1310 310 40 JNQ5043XXYBEV JNQ5043XXYBEV1 JNQ5043XXYBEV2 JNQ5022XXYBEV JNQ5040XXYBEV4 JNQ5036XXYBEV1 CH5015XXYBEVA2CD CH5015XYZBEVA2CA JYK5040XXYBEV1 JYK5040XLCBEV1 纯电动厢式运输车 纯电动厢式运输车 纯电动厢式运输车 纯电动厢式运输车 纯电动厢式运输车 纯电动厢式运输车 北斗星 E 北斗星 E 纯电动厢式运输车 纯电动冷藏车 380 270 360 250 300 350 165 165 250 250 3050 2840 2860 1150 2900 2350 940 940 2820 2950 648 580 625 278 655 555 198 198 480±10 480±10 77 66 90 33 75 66 20 20 55 55 KLQ5022XXYEV1 纯电动厢式运输车 235 1620 396 44 KK5041XXYEV01 NJL5040XSWBEV4 NJL5022XXYBEV6 NJL5040XXYBEV23 NJL5021XXYBEV21 NJL5021XXYBEV22 NJL5031XXYBEV8 NJL5025XXYBEV 纯电动厢式运输车 纯电动商务车 纯电动厢式运输车 纯电动厢式运输车 纯电动厢式运输车 纯电动厢式运输车 纯电动厢式运输车 纯电动厢式运输车 385 225 188 276 198 245 197 236 3450 2980 1180 2910 1475 1475 1800 1400 866 620 309 630 280 315 420 280 83 56 30 73 38 40 49 37 车辆型号 产品名称 STQ3251L10Y2SBEV STQ4181L02Y4NBEV 纯电动自卸汽车 纯电动牵引汽车 TEG5041XXYEV01 纯电动厢式运输车 HAC5021ZZZEV1 纯电动自装卸式垃圾车 DNC5040XXYBEV02 E200 远程轻卡 15 动力蓄电池组 动力蓄电池组 备注 总质量(kg) 总能量(kWh) 1330 130 1330 130 序 号 80 81 82 83 84 85 86 87 88 89 90 91 92 93 94 汽车生产企业名称 南京金龙客车制造有限公司 南京汽车集团有限公司 奇瑞汽车股份有限公司 厦门金龙旅行车有限公司 山东凯马汽车制造有限公司 95 96 97 98 99 100 101 102 103 104 105 106 车辆型号 NJL5031XXYBEV7 NJL5021XXYBEV25 NJL5032XXYBEV8 NJL5032XXYBEV7 NJ5057XXYCEV7 SQR5023XXYBEVK06 SQR5024XXYBEVK06 XML5036XXYEVL0 XML5036XXYEVW0 KMC5042XXYEVB33D KMC5032XXYEV29D KMC1032EV29D KMC5032CCYEV29D KMC5030XXYEV21D KMC5030CCYEV21D 陕西通家汽车股份有限公司 陕西跃迪新能源汽车有限公 司 上海汽车商用车有限公司 上海申龙客车有限公司 纯电动续驶 里程(km) 184 243 203 190 410 235 275 185 185 270 140 140 140 130 130 整车整备质 量(kg) 1800 1475 1850 1850 3400 1390 1450 2050 2140 3305 1385 1220 1280 1385 1385 动力蓄电池组 动力蓄电池组 备注 总质量(kg) 总能量(kWh) 400 46 265 40 420 49 400 46 650 81 280 34 349 40 450 49 520 53 630 74 177 22 177 22 177 22 210 23 210 23 130 1665 332 32 210 130 287 207 3100 2020 1370 1935 630 332 340 375 74 32 39 46 YYC5041XXYBEV2 YYC5030ZZZBEV STJ5026XXYEV6 STJ5030XXYEV2 纯电动厢式运输车 纯电动厢式运输车 纯电动厢式运输车 纯电动厢式运输车 纯电动厢式运输车 中城博源 EV 开瑞优优 EV 纯电动厢式运输车 纯电动厢式运输车 纯电动厢式运输车 纯电动厢式运输车 纯电动载货汽车 纯电动仓栅式运输车 纯电动厢式运输车 纯电动仓栅式运输车 纯电动车厢可卸式垃圾 车 纯电动厢式运输车 纯电动自装卸式垃圾车 纯电动厢式运输车 纯电动厢式运输车 SQZ5040XXYEV 纯电动厢式运输车 300 2710 750 80 SH5041XLCA7BEV-7 SH5041XDWA7BEV-7 SH5041XXYA7BEV-6 SH5041XYZA7BEV-7 SH5040XXYA7BEV-5 SLK5030XXYBEV1 EV80 EV80 EV80 EV80 EV80 纯电动厢式运输车 345 330 365 360 290 255 3275 3650 2440 2650 2230 1515 640 640 570 640 410 370 74 74 71 74 53 46 YYC5030ZXXBEV 山西原野汽车制造有限公司 产品名称 16 序 号 107 108 109 110 111 112 113 114 115 116 117 118 119 120 121 汽车生产企业名称 上海申龙客车有限公司 深圳东风汽车有限公司 四川野马汽车股份有限公司 芜湖宝骐汽车制造有限公司 扬州亚星客车股份有限公司 一汽客车(大连)有限公司 浙江宝成机械科技有限公司 浙江飞碟汽车制造有限公司 镇江天洋汽车有限公司 郑州宇通重工有限公司 车辆型号 SLK5032XXYBEV1 EQ5033CTYBEVS SQJ5040XXYS1BEV WXS5023XXYBEV03 YBL5031XXYBEV1 CA5020XXYBEV32 ZBJ5030XXYBEV FD5024XXYBEV FD5032XXYD66KBEV-1 ZKJ5040XXYEV2 YTZ5040ZZZZ0BEV YTZ5040ZLJZ0BEV YTZ5180TXSZ1BEV YTZ5030TYHZ0BEV YTZ5040XTYZ0BEV 122 YTZ5040ZXXZ0BEV 123 124 125 126 127 128 129 130 131 132 133 YTZ5040TXSZ0BEV ZLJ5033TSLNJBEV LCK5023XXYEV5 LCK5047XXYEV7 LCK5080XDYEV LCK5047XXYEVH8 LCK5180XDYEV1 LCK5180XDYEV ZTQ5030XXYBEV30 ZTQ5040XXYBEV33 ZTQ5030TSLBEV30 中联重科股份有限公司 中通客车控股股份有限公司 中通汽车工业集团有限责任 公司 产品名称 纯电动厢式运输车 纯电动桶装垃圾运输车 纯电动厢式运输车 劲骐旺旺 纯电动厢式运输车 纯电动厢式运输车 纯电动厢式运输车 纯电动厢式运输车 纯电动厢式运输车 纯电动厢式运输车 纯电动自装卸式垃圾车 纯电动自卸式垃圾车 纯电动洗扫车 纯电动路面养护车 纯电动密闭式桶装垃圾 车 纯电动车厢可卸式垃圾 车 纯电动洗扫车 纯电动扫路车 纯电动厢式运输车 纯电动厢式运输车 纯电动电源车 纯电动厢式运输车 纯电动电源车 纯电动电源车 纯电动厢式运输车 纯电动厢式运输车 纯电动扫路车 17 纯电动续驶 里程(km) 240 260 251 180 200 250 180 180 215 310 218 220 402 151 整车整备质 量(kg) 1400 1850 3080 1400 2000 1650 1380 1070 2250 2860 3000 2900 12950 2850 动力蓄电池组 动力蓄电池组 备注 总质量(kg) 总能量(kWh) 280 38 412 49 376 50 312 35 375 45 380 44 280 35 255 26 464 50 630 73 555 55 555 55 1980 194 555 55 260 2900/2800 578 55 265 2600 578 55 355 150 201 251 155 210 155 155 140 280 140 3700 2760 1260 2900/2750 8080 2800 17850 17850 2320 2805 2900 642 490 298 608 808 580 1156 1208 424 700 424 81 48 29 74 77 66 140 142 49 78 49 序 号 134 135 136 137 138 汽车生产企业名称 中植一客成都汽车有限公司 重庆盛时达汽车有限公司 重庆长帆新能源汽车有限公 司 珠海广通汽车有限公司 车辆型号 CDL5030XXYBEV2 DAT5033XLCEVC CFX5031XXYEVA0 CFX5031CCYEVA0W GTQ5024XXYEV 产品名称 纯电动厢式运输车 纯电动冷藏车 纯电动厢式运输车 纯电动仓栅式运输车 纯电动厢式运输车 18 纯电动续驶 里程(km) 180 240 205 205 225 整车整备质 量(kg) 2050 1660 1110/1125 1200 1400 动力蓄电池组 动力蓄电池组 备注 总质量(kg) 总能量(kWh) 375 45 370 45 255 30 255 30 315 36 二、插电式混合动力汽车 (一)乘用车 序 号 1 2 汽车生产企业名 称 长城汽车股份有 限公司 车辆型号 通用名称 纯电动续驶 里程(km) 燃料消耗量 发动机排量 (L/100km) (mL) 整车整备 动力蓄电池 动力蓄电池 备 质量(kg) 总质量(kg) 总能量(kWh) 注 CC6483AD21APHEV P8s 50 2.3 1967 2281 140±5 13 CC6484AD21APHEV P8 50 2.3 1967 2281 140±5 13 19 (二)客车 序 号 汽车生产企业名称 1 2 车辆型号 HFF6850G03CHEV11 安徽安凯汽车股份 有限公司 HFF6100G03CHEV26 3 HFF6100G03PHEV2 4 BJ6855PHEVCA-1 5 BJ6127PHEVUA-3 6 BJ6905CHEVCA-10 7 BJ6123CHEVCA-6 8 北汽福田汽车股份 有限公司 BJ6127PHEVCA-5 产品名称 插电式混合动 力城市客车 插电式混合动 力城市客车 插电式混合动 力城市客车 插电式混合动 力城市客车 插电式混合动 力客车 插电式混合动 力城市客车 插电式混合动 力城市客车 插电式混合动 力城市客车 插电式混合动 力城市客车 插电式混合动 力城市客车 纯电动 续驶里 程 (km) 燃料消耗量 (L/100km) 56 12.0 14.1 (kg/100km) 14.2 (kg/100km) 13.5/13.7 (kg/100km) 20.9/20.5 (kg/100km) 14.9/14.8 (kg/100km) 90 90 74 86 69 发动机排 量(mL) 动力蓄电 整车整备质量(kg) 池总质量 (kg) 动力蓄电 池总能量 (kWh) 备 注 3920 8200/8600 430 26 7130 11900/12600 700 51 NG 7130 11700/12400 700 51 NG 4088/4214 8550/9050/9400 310 30 NG 8424/7470 12500/12900 510 50 NG 5200/4980 8750/9050/9400 310 30 NG 89 18.0 6494/7470 12000/12400/12800 510 50 85 18.0 8424/8424 12400/12700 510 50 4088/4214 8550/9050/9400 310 30 NG 6494/7470 12100/12650/13100 /6700 510 50 NG 13.5/13.8 (kg/100km) 15.8/16.2/16.3 90 (kg/100km) 9 BJ6855CHEVCA-3 74 10 BJ6123CHEVCA-5 11 BJ6680SHEVCA 插电式混合动 力城市客车 76 10.4 (kg/100km) 2982 6200/6400 260 22 NG 12 BJ6855PHEVCA-2 插电式混合动 力城市客车 72 14.8/14.8 3767/4088 8550/9050 310 30 20 序 号 13 14 汽车生产企业名称 丹东黄海汽车有限 责任公司 车辆型号 DD6109SHEV2N DD6120CHEV4N 15 HQK6129CHEVNG 16 HQK6109CHEVNG 17 HQK6109PHEVNG 18 19 广西源正新能源汽 车有限公司 80 动力蓄电 整车整备质量(kg) 池总质量 (kg) 动力蓄电 池总能量 (kWh) 备 注 4214 10450/11050 430 26 NG 6750 12000/12450 622 43 NG 7800 12400/13100 780 54 87 19.5 6494 11800/12500 780 54 83 19.9 6494 11800/12500 780 54 83 14.7 6494 11800/12500 780 54 52 14.1 5200 9000/9500 390 27 52 16.8 5200 9000/9500 390 27 53 13.4 5200 8700/9200 390 27 85 17.7 6494 12400/13100 780 54 HKC6121CHEV01 插电式混合动 力城市客车 50 24.1 (m3/100km) 6494 600(单电 12695/13045 池)/716(含 电容) 51 NG HKC6123CHEV 插电式混合动 力城市客车 50 16.6 (kg/100km) 6494 13100/12400 49 NG HQK6109CHEVB HQK6859CHEVNG 21 HQK6859PHEVB 22 HQK6129CHEVB 24 17.1 (kg/100km) 18.1 (kg/100km) 51 发动机排 量(mL) 19.8 HQK6859PHEVNG 哈尔滨通联客车有 限公司 插电式混合动 力城市客车 插电式混合动 力城市客车 插电式混合动 力城市客车 插电式混合动 力城市客车 插电式混合动 力城市客车 插电式混合动 力城市客车 插电式混合动 力城市客车 插电式混合动 力城市客车 插电式混合动 力城市客车 插电式混合动 力城市客车 燃料消耗量 (L/100km) 85 20 23 产品名称 纯电动 续驶里 程 (km) 21 680 序 号 汽车生产企业名称 25 湖南中车时代电动 汽车股份有限公司 26 27 江西博能上饶客车 有限公司 车辆型号 TEG6106EHEVN10 SR6106PHEVG5 SR6127PHEVN 28 KLQ6850GAHEVC5K 29 KLQ6112HAHEVE51A 30 KLQ6115HZAHEVE5A 31 KLQ6109GAHEVC5K 32 33 金龙联合汽车工业 (苏州)有限公司 KLQ6850GAHEVE5K KLQ6109GAHEVE5K 34 KLQ6850GAHEVE5K1 35 KLQ6129GAHEVC5K 36 KLQ6109GAHEVE5K1 37 KLQ6109GAHEVE5L 产品名称 插电式混合动 力城市客车 插电式混合动 力城市客车 插电式混合动 力客车 插电式混合动 力城市客车 插电式混合动 力客车 插电式混合动 力城市客车 插电式混合动 力城市客车 插电式混合动 力城市客车 插电式混合动 力城市客车 插电式混合动 力城市客车 插电式混合动 力城市客车 插电式混合动 力城市客车 插电式混合动 力城市客车 纯电动 续驶里 程 (km) 燃料消耗量 (L/100km) 100 20.0 (kg/100km) 97 13.5 20.7 (kg/100km) 12.5/12.6 (kg/100km) 80 56 发动机排 量(mL) 动力蓄电 整车整备质量(kg) 池总质量 (kg) 6494 11400/11800/12200 428/184 动力蓄电 池总能量 (kWh) 备 注 50+0.634 NG 6494 10650/11040 644 42 7470 11820/12320 760 50 NG 4730/4980 9550/9750/9950 449 30 NG 85 13.1 8424 12200/12600 440 50 72 20.4 8424 11500/12200 440 50 68 16.9/16.8 (kg/100km) 6494/7470 11650/11850/12200 700 51 NG 53 12.1 4730/4980 9200/9480 230 25 65 14.9 6500/6750 11200/11500 400 42 53 12.1 4730/4980 9400/9600 520 26 59 19.6/20.1 (kg/100km) 6494/7470 12800/13200/13430 700 51 NG 62 14.9 6500/6750 11180/11500 616 43 69 18.1 6500/6750 11180/11500 700 51 22 序 号 汽车生产企业名称 金龙联合汽车工业 (苏州)有限公司 昆明客车制造有限 39 公司 38 40 41 42 辽宁乾丰专用车有 限公司 43 44 45 46 南京金龙客车制造 有限公司 47 48 49 50 奇瑞万达贵州客车 股份有限公司 厦门金龙联合汽车 工业有限公司 车辆型号 产品名称 插电式混合动 力城市客车 插电式混合动 KK6851G03CHEV 力城市客车 插电式混合动 QF6102HEVNG 力城市客车 插电式混合动 QF6103HEVNG 力城市客车 插电式混合动 QF6101HEVNG 力城市客车 插电式混合动 QF6113HEVNG 力城市客车 插电式混合动 NJL6859HEVN3 力城市客车 插电式混合动 NJL6109HEV5 力城市客车 插电式混合动 NJL6129HEV5 力城市客车 插电式混合动 NJL6859HEV3 力城市客车 混合动力城市 WD6125EHEV2 客车 插电式混合动 XMQ6127AGCHEVD510 力城市客车 插电式混合动 XMQ6106AGCHEVD58 力城市客车 KLQ6109GAHEVC5L 纯电动 续驶里 程 (km) 动力蓄电 整车整备质量(kg) 池总质量 (kg) 燃料消耗量 (L/100km) 发动机排 量(mL) 68 21.9/22.4 (kg/100km) 6494/7470 11650/11850/12200 56 12 23.3 (kg/100km) 22.2 (kg/100km) 22.3 (kg/100km) 20.5 (kg/100km) 14.3 (kg/100km) 66 69 77 63 50 动力蓄电 池总能量 (kWh) 备 注 700 51 NG 26 3920 8200/8600 430 6494 12005 540/116 40 NG 6494 11700/11415 495 50 NG 6494 11400 760 50 NG 6494 12915/12620 760 50 NG 4730 8800 449 30 NG 75 14.9 6494 11300 495 50 70 14.9 6494 11760/11960 622 43 50 12.1 4730 8800 405 27 80 21.7 (kg/100km) 6494 13300 680 49 NG 90 18.5 6494/6750 11600/12600/13300 700 51 105 14.9 6494 11400/12000/12600 513/116 52+0.42 23 序 号 汽车生产企业名称 51 52 厦门金龙联合汽车 工业有限公司 54 55 57 厦门金龙旅行车有 限公司 58 59 60 上海申沃客车有限 公司 61 62 63 浙江中车电车有限 公司 产品名称 插电式混合动 力城市客车 插电式混合动 XMQ6106AGCHEVN512 力城市客车 插电式混合动 XMQ6106AGCHEVD510 力城市客车 插电式混合动 XML6105JHEVY5C 力城市客车 插电式混合动 XML6125JHEVG5CN6 力城市客车 插电式混合动 XML6105JHEVG5C7 力城市客车 插电式混合动 XML6855JHEVC5C 力城市客车 插电式混合动 XML6125JHEVW5C 力城市客车 插电式混合动 XML6105JHEVG5C6 力城市客车 混合动力城市 SWB6108CHEV8 客车 混合动力城市 CSR6850GPHEV1 客车 混合动力城市 CSR6100GCHEV1 客车 混合动力城市 CSR6121GCHEV1 客车 XMQ6127AGCHEVN512 53 56 车辆型号 纯电动 续驶里 程 (km) 燃料消耗量 (L/100km) 17.4/16.7 (kg/100km) 15.9/15.7 (kg/100km) 90 90 发动机排 量(mL) 动力蓄电 整车整备质量(kg) 池总质量 (kg) 动力蓄电 池总能量 (kWh) 备 注 12000/12800 /13400/13800 700 51 NG 6494/6750 11700/12300/12900 700 51 NG 6494/6750 11400/11900/12600 616 43 12625/12125 616 43 6494 12800/13300/13700 536 51 NG 6494/6750 82 14.9 64 14.9 70 14.4 (kg/100km) 64 14.9 6494 13050/12650 820 43 52 12.1 4400/4730 9465/9920 405 27 68 18.5 6440 12000/12500/13000 410 48 66 14.9 6440 12625/12125 487 44+0.422 105 16.0 (kg/100km) 6750 11980 700 51 NG 65 12.1 5200 9050/9250 320 26 85 14.9 6494 11030/10800 644 42 105 20.6 6494 12175/12400 700 51 24 6494 序 号 汽车生产企业名称 中国重汽集团济南 豪沃客车有限公司 中通客车控股股份 65 有限公司 重庆五洲龙新能源 66 汽车有限公司 64 车辆型号 JK6126GPHEVN5Q2 LCK6107PHEVCNG2 WZL6853PHEVGEG5 产品名称 插电式混合动 力城市客车 插电式混合动 力城市客车 插电式混合动 力城市客车 纯电动 续驶里 程 (km) 燃料消耗量 (L/100km) 19.1 (kg/100km) 17.2 (kg/100km) 71 83 55 32.4 注:插电式混合动力汽车燃料消耗量仅包括传统燃料/不含电能折算。 25 发动机排 量(mL) 6870 动力蓄电 整车整备质量(kg) 池总质量 (kg) 动力蓄电 池总能量 (kWh) 备 注 12080/12400 700 51 NG 6750 10600/11200/11880 700 51 NG 318±3 25 NG 5200 9300 三、燃料电池汽车 (一)客车 序 号 汽车生产企业名称 车辆型号 1 上海汽车商用车有限公司 SH6612A4FCEV 产品名称 纯电动续驶 里程(km) 整车整备质 量(kg) 燃料电池系统 额定功率(kW) 驱动电机额 定功率(kW) 430 3105/3130 30 55 FCV80 26 备注

免征车辆购置税的新能源汽车车型目录(第十二批).pdf




