附件1:正常户纳税人欠缴税款情况表.xls
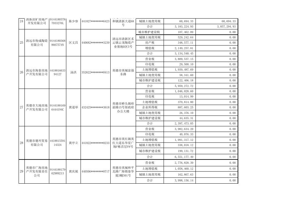
正常户纳税人欠缴税款情况表(企业、单位) 序 号 1 2 3 4 5 纳税人名称 统一社会 信用代码 (纳税人 识别号) 清远市允建房地 4418016633 产开发有限公司 65377 忠毅(清远)电 9144180073 子塑胶五金有限 85949768 公司 清远市润泰房地 9144180276 产开发有限公司 063046XT 清远新绿环建筑 4418046752 材料有限公司 34219 清远荣航房地产 9144180277 发展有限公司 0998698A 法定代 法定代表人(负责 表人( 人、业主)居民身 负责人 份证或其他有效身 、业主 份证件号码 )姓名 谢始文 彭智梅 邓建安 付志洪 邝志国 生产经营地址 清远市龙塘新镇 御景龙城公寓楼 440923********0339 11层(仅限办公 ) 清远市清城区龙 440982********6700 塘镇新庄长冲毅 力工业城 清远市清城区源 潭镇站东路4号润 440111********031X 泰新城三号楼一 座首层商铺09号 清远市清城区石 350403********4013 角镇循环经济产 业园 440121********0912 清远市清城区源 潭镇银英公路边 欠税余额(元) 当期新发生欠税金额(元 ) 城市维护建设税 124,042.78 0.00 企业所得税 1,878,704.06 0.00 土地增值税 1,488,513.33 0.00 营业税 2,480,855.55 0.00 合计 5,972,115.72 0.00 城市维护建设税 33,674.03 11,533.10 城镇土地使用税 473,983.91 0.00 房产税 1,267,463.62 541,764.37 印花税 7,768.50 1,242.50 增值税 673,480.71 230,661.98 合计 2,456,370.77 785,201.95 城市维护建设税 101,792.39 0.00 城镇土地使用税 156,917.58 0.00 房产税 5,627.16 0.00 企业所得税 1,433,746.75 0.00 土地增值税 1,090,049.16 0.00 印花税 15,950.61 0.00 营业税 1,741,149.55 0.00 增值税 294,697.76 0.00 合计 4,839,930.96 0.00 城镇土地使用税 2,056,021.01 0.00 房产税 689,614.13 0.00 合计 2,745,635.14 0.00 城市维护建设税 103,767.96 0.00 欠税税种 5 6 7 8 清远荣航房地产 9144180277 发展有限公司 0998698A 广东健卫士医疗 91441802MA 技术开发有限公 54BKWN6L 司 清远市泉润压力 9144180239 容器制造有限公 8121194C 司 清远市海泰房地 9144180266 产开发有限公司 3394127C 邝志国 罗前贤 江韶宏 汤洪 440121********0912 清远市清城区源 潭镇银英公路边 清远高新技术产 445281********2137 业开发区创兴二 路10号A4栋5楼 清远市新城B46号 区洲心工业区盈 440204********3339 泉钢制品有限公 司1、3、4、5厂 房 清远市新城东二 352622********0413 号区五十七幢705 号 印花税 22,060.50 0.00 增值税 4,150,718.59 0.00 合计 4,276,547.05 0.00 城市维护建设税 248,958.49 248,958.49 印花税 18,985.40 18,985.40 增值税 4,979,169.75 4,979,169.75 合计 5,247,113.64 5,247,113.64 城市维护建设税 234,349.88 13,380.04 企业所得税 3,996,849.65 0.00 合计 4,231,199.53 13,380.04 企业所得税 2,219,001.12 0.00 增值税 85,889.25 0.00 合计 2,304,890.37 0.00 75,074.70 0.00 企业所得税 3,282,690.53 0.00 土地增值税 1,738,658.59 0.00 增值税 3,441,253.64 403,450.80 合计 8,537,677.46 403,450.80 企业所得税 3,544,034.40 3,544,034.40 合计 3,544,034.40 3,544,034.40 城市维护建设税 148,194.58 0.00 企业所得税 1,779,588.67 0.00 土地增值税 296,608.58 0.00 增值税 761,624.98 0.00 合计 2,986,016.81 0.00 城市维护建设税 219,303.25 0.00 城镇土地使用税 114,258.84 0.00 土地增值税 1,253,161.45 0.00 城市维护建设税 9 清远市沥雄坚实 9144180268 业投资有限公司 2456549B 清远市肇锋房地 9144180268 10 产开发有限公司 4416321J 清远市恒祥房地 9144180269 11 产开发有限公司 9769066A 12 黄炬明 罗勇飞 钟家荣 清远市嘉源房地 9144180273 刘锦洪 产开发有限公司 5009671K 清远市清城区北 江一路星洲苑四 440306********0117 号楼C梯201号( 仅限办公) 清远市清城区横 荷峡山西路2号肇 441827********5312 锋华府首层商铺 03号 清远市清城区东 城街道办事处长 441802********0519 埔综合开发区首 层之一 清远市新城西七 441802********6934 号区连江西路四 号嘉源新城内 12 清远市嘉源房地 9144180273 刘锦洪 产开发有限公司 5009671K 广东盈泉高新材 9144180274 13 料有限公司 91558991 14 清远市粤嘉建设 9144180275 工程有限公司 4521590D 清远市杰晖房地 9144180278 15 产有限公司 11855612 清远市君行房地 9144180278 16 产有限公司 3876016X 清远市兴合力房 9144180278 17 地产开发有限公 79487937 司 黄锐良 张俊辉 农健 张淑坚 何爱金 清远市新城西七 441802********6934 号区连江西路四 号嘉源新城内 440622******0012 441425******6116 452601******0017 441802******023X 440127******2027 清远市新城B4 6号区洲心工业 区 清远市新城2号区 建设大厦B幢首层 清远市银泉南路 16号华茂广场( 办公楼二)13层 02号之三 清远市新城人民 二路九号震海商 贸大厦13层01号 之五 清远市新城北江 一路25号翡翠绿 洲2号楼402单元 (仅限办公) 增值税 3,132,903.62 0.00 合计 4,719,627.16 0.00 城市维护建设税 900,928.40 0.00 城镇土地使用税 904,579.92 0.00 房产税 1,008,643.08 0.00 企业所得税 3,974,299.45 0.00 印花税 43,948.81 0.00 增值税 17,573,552.78 0.00 合计 24,405,952.44 0.00 城市维护建设税 25,012.12 0.00 企业所得税 125,542.53 0.00 增值税 3,028,536.78 0.00 合计 3,179,091.43 0.00 城镇土地使用税 10,839,198.24 0.00 合计 10,839,198.24 0.00 城市维护建设税 120,756.26 49,234.92 企业所得税 459,046.87 266,934.07 土地增值税 350,958.53 92,285.71 增值税 1,477,307.54 703,356.00 合计 2,408,069.20 1,111,810.70 城市维护建设税 783,272.96 0.00 城镇土地使用税 107,093.04 0.00 个人所得税 6,009.50 0.00 企业所得税 5,481,170.14 0.00 土地增值税 7,931,069.61 0.00 营业税 11,503,638.14 0.00 增值税 54,880.95 0.00 合计 25,867,134.34 0.00 18 19 清远市源河房地 9144180278 产开发有限公司 9419289U 清远市清城区润 91441802MA 圆投资中心 4ULXT94Q 清远市金炜达房 91441802MA 20 地产开发有限公 4UNTHQ78 司 清新县富兴房地 9144180369 21 产开发有限公司 0488655F 清远市清新区汇 9144180372 22 利豪置业有限公 114934XB 司 张国培 欧日华 杨华里 张泽明 俞飞 441621******4811 441802******6918 440203******1812 清远市清城区连 江路五十五号城 市花园办公楼7层 全层号 清远市新城人民 西路33号盛景雍 华庭4栋55号铺 清远市清城区北 江一路8号龙汇领 峰二号楼一梯2层 03号(仅限办公 ) 清新县太和镇明 441811********5115 霞大道西18号 清远市清新区太 340702********0017 和镇园林路7号 城市维护建设税 502,737.97 393,829.21 城镇土地使用税 682,489.28 0.00 房产税 96,441.13 56,226.66 企业所得税 7,468,781.27 7,468,781.27 增值税 7,181,970.92 5,626,131.43 合计 15,932,420.57 13,544,968.57 企业所得税 876,342.31 876,342.31 合计 876,342.31 876,342.31 城市维护建设税 146,026.33 28,220.14 企业所得税 4,877,535.11 0.00 土地增值税 1,191,170.55 291,870.52 增值税 2,086,090.30 403,144.75 合计 8,300,822.29 723,235.41 企业所得税 15,053,780.03 0.00 649.99 0.00 合计 15,054,430.02 0.00 增值税 6,417,038.64 0.00 企业所得税 1,413,314.86 0.00 土地增值税 3,468,595.05 0.00 城市维护建设税 490,420.33 0.00 印花税 39,613.60 0.00 个人所得税 204,578.04 0.00 12,033,560.52 0.00 城市维护建设税 153,457.58 80,719.52 企业所得税 4,131,611.50 61,037.94 土地增值税 2,512,552.64 890,199.15 印花税 54,495.90 28,085.60 增值税 5,553,143.63 1,153,136.02 合计 12,405,261.25 2,213,178.23 房产税 3,122,530.60 2,996,600.60 城市维护建设税 合计 23 清远城建房地产 9144180366 有限公司 9802654Y 清新滨矿房地产 9144180378 24 开发有限公司 7933276L 陈伟锋 陈少容 清远市清新区太 和镇清新大道8号 441827********6210 (帝景花园)B幢 203# 清远市清新区太 441827********6423 和镇清新大道68 号 清新滨矿房地产 9144180378 24 开发有限公司 7933276L 清远市俊成陶瓷 9144180368 25 有限公司 8667574N 26 清远市海泰房地 4418816633 产开发有限公司 94127 英德市大地房地 9144188169 27 产开发有限公司 6444194C 28 英德市德兴贸易 4418815591 有限公司 14324 英德市广海房地 29 产开发有限责任 公司 9144188179 62989213 陈少容 区文昌 汤洪 黄道举 黄序立 黄庆展 清远市清新区太 441827********6423 和镇清新大道68 号 清远市清新区禾 440682********3239 云镇云龙陶瓷产 业基地B区5号 352622********0413 英德市英城富强 东路 英德市桥头镇府 432425********3618 前路15号原政府 办公大楼 英德市英红镇英 441822********0233 红大道东华星广 场F栋首层F8号 英德市英城和平 440506********0717 北路广海锦泰华 庭3幢501号 城镇土地使用税 60,694.33 60,694.33 合计 3,183,224.93 3,057,294.93 城市维护建设税 107,462.89 0.00 城镇土地使用税 529,242.64 0.00 房产税 348,577.11 0.00 增值税 2,149,257.81 0.00 合计 3,134,540.45 0.00 营业税 3,809,537.15 0.00 印花税 29,500.10 0.00 1,939,487.69 0.00 城镇土地使用税 58,341.60 0.00 城市维护建设税 122,406.18 0.00 合计 5,959,272.72 0.00 营业税 1,046,028.60 0.00 印花税 13,014.99 0.00 土地增值税 379,814.80 0.00 企业所得税 887,603.25 0.00 城镇土地使用税 26,376.10 0.00 城市维护建设税 44,635.31 0.00 合计 2,397,473.05 0.00 营业税 3,982,634.20 0.00 印花税 40,076.33 0.00 土地增值税 1,991,317.12 0.00 城镇土地使用税 338,018.12 0.00 城市维护建设税 199,131.72 0.00 合计 6,551,177.49 0.00 营业税 2,776,828.39 0.00 土地增值税 1,058,460.12 0.00 城镇土地使用税 162,867.63 0.00 合计 3,998,156.14 0.00 土地增值税 英德市福临假日 30 酒店管理有限公 司 31 9144188157 2404852J 英德市华星房地 9144188156 产开发有限公司 088457X1 英德市金地辉煌 32 房地产开发有限 公司 9144188156 45282654 英德市丽江房地 91441881L0 33 产开发有限公司 3592294N 34 英德市正林房地 9144188169 产发展有限公司 6438448R 巫汉朝 黄莉萍 全自观 黄爱玉 彭江胜 英德市英红镇侨 兴一路财政办公 441881********6937 楼一楼(仅限办 公) 英德市英城教育 路北6号金华大厦 350302********0026 C幢4楼402房(仅 限办公) 英德市英城和平 北路金子山一号 441822********0818 路北B幢(仅限办 公) 英德市大站镇浈 350321********4821 阳东路北侧 英德市英城利民 路与迎春巷交汇 432924********1213 处,正林大厦317 号 营业税 8,237,359.90 0.00 印花税 82,665.77 0.00 土地增值税 3,306,182.94 0.00 企业所得税 6,115,882.04 0.00 个人所得税 31,251.17 0.00 城镇土地使用税 30,730.45 0.00 城市维护建设税 413,298.03 0.00 合计 18,217,370.30 0.00 营业税 2,650,879.27 0.00 印花税 27,877.70 0.00 土地增值税 1,325,439.64 0.00 城镇土地使用税 115,139.87 0.00 城市维护建设税 132,543.97 0.00 合计 4,251,880.45 0.00 营业税 2,062,989.71 0.00 土地增值税 220,026.18 0.00 城市维护建设税 74,213.90 0.00 合计 2,357,229.79 0.00 营业税 1,893,756.75 0.00 印花税 33,880.08 0.00 土地增值税 950,478.42 0.00 房产税 5,325.59 0.00 城镇土地使用税 165,720.80 0.00 城市维护建设税 94,687.85 0.00 合计 3,143,849.49 0.00 营业税 3,665,160.45 0.00 印花税 36,651.60 0.00 1,483,562.43 0.00 城镇土地使用税 4,343.52 0.00 城市维护建设税 256,561.24 0.00 土地增值税 34 英德市正林房地 9144188169 产发展有限公司 6438448R 英德市正威房地 9144188108 35 产开发有限公司 6838794P 广东兴裕铝业有 9144188157 36 限公司 7945666N 英德市南山水泥 9144188170 37 厂 7607850E 彭江胜 潘国威 林龙鑫 谭方召 英德市英城利民 路与迎春巷交汇 432924********1213 处,正林大厦317 号 英德市东华镇大 镇停车场大楼第 440121********0631 十层(仅限办公 ) 英德市东华镇清 440582********5413 远华侨工业园新 型建材基地内 英德市英城宝晶 441822********8715 路 合计 5,446,279.24 0.00 增值税 2,176,983.52 0.00 土地增值税 524,752.11 0.00 合计 2,701,735.63 0.00 增值税 34,444,455.62 0.00 印花税 4,779.80 0.00 个人所得税 1,744.73 0.00 房产税 315,637.34 0.00 城镇土地使用税 106,667.54 0.00 城市维护建设税 291,430.43 0.00 合计 35,164,715.46 0.00 房产税 1,202,468.07 0.00 城镇土地使用税 2,737,624.30 0.00 合计 3,940,092.37 0.00 3,063,988.63 0.00 16,840.17 0.00 3,080,828.80 0.00 营业税 2,908,442.67 0.00 城市维护建设税 203,591.01 0.00 印花税 29,084.30 0.00 土地增值税 1,310,002.62 0.00 企业所得税 407,092.66 0.00 合计 4,858,213.26 0.00 营业税 1,436,122.55 0.00 城市维护建设税 104,901.26 0.00 房产税 1,209.60 0.00 15,017.13 0.00 75,557.52 0.00 599,435.78 0.00 19,418.10 0.00 增值税 连州市汶飞能 441882773 连州市星子镇东 38 颜元朝 432827********081X 城市维护建设税 源有限公司 057842 红村 合计 连州市鸿达市 441882726 39 场发展有限公 赵友均 495794 司 33062********3432 连州市人民西路 30号 印花税 连州市连州镇湟 连州市金泰矿 914418827 川北路199号“ 城镇土地使用税 40 陈吉章 441824********0612 冶有限公司 37565794B 吉大名居”A幢 土地增值税 二楼101房西 增值税 40 连州市金泰矿 914418827 川北路199号“ 陈吉章 441824********0612 冶有限公司 37565794B 吉大名居”A幢 二楼101房西 连州市连州镇荷 连州市宝盈置 914418820 香街碧贵大厦二 41 业发展有限公 童绍洪 440621********2118 82599554U 层商场(自编01 司 号) 企业所得税 868,772.45 0.00 合计 3,120,434.39 0.00 城市维护建设税 71,477.28 0.00 城镇土地使用税 9,312.12 0.00 1,307,032.41 0.00 印花税 17,869.40 0.00 增值税 1,021,104.09 0.00 合计 2,426,795.30 0.00 企业所得税 正常户纳税人欠缴税款情况表(个体工商户和其他个人) 序 纳税人名 号 称 1 2 3 — 法定代表人( 统一社会信 法定代表 负责人、业主 用代码(纳 人(负责 )居民身份证 生产经营地址 税人识别号 人、业主 或其他有效身 ) )姓名 份证件号码 — 清远市清城 440183***** 区小市桦胜 ***413402 汽车影音店 清远市清城 92441802MA4 区新城鸣蕊 X519J7E 汽车用品店 袁建兴 441802******** 2417 罗稳权 清远市新城连江西 440183******** 路二号丽清花园丽 兴苑B幢首、二层 4134 第八卡铺 潘玉娣 — 欠税余额(元) 当期新发生欠税金额(元 ) 个人所得税 318,003.56 0.00 合计 318,003.56 0.00 城市维护建设税 15,599.40 0.00 印花税 4,153.60 0.00 增值税 125,646.49 0.00 合计 145,399.49 0.00 1,187.30 0.00 482,161.87 0.00 483,349.17 0.00 47,032.24 2,548.57 671,889.13 36,408.10 718,921.37 38,956.67 增值税 107,533.59 0.00 合计 107,533.59 0.00 个人所得税 403,403.50 0.00 合计 403,403.50 0.00 清远市清城区洲心 城市维护建设税 440183******** 街三角村委会上氹 增值税 4022 村109首层第5、6 合计 卡商铺 清远市清城区古城 城市维护建设税 441802******** 麦围杉岗塘商业广 增值税 0914 场G座二层F区 合计 清远市清城 92441802MA5 区盛达制衣 21HTB4K 厂 梁朝勇 5 佛冈县迳头 92441821MA4 镇正和钢材 WAK7FXT 经营部 范秀丹 441821******** 佛冈县迳头镇新集 0620 镇(迳建08-17) 6 英德市浈湖 441802***** 山庄酒楼 ***051201 杜忠伟 441802******** 英德市英城英洲大 0512 道东浈阳湖边 4 欠税税种

附件1:正常户纳税人欠缴税款情况表.xls




