秦岭文库(kunmingchi.com)你想要的内容这里独有!

附件1:浦发银行冬奥币再次预约兑换网点及数量信息.xls

perpetual12 页 50 KB下载文档
附件1:浦发银行冬奥币再次预约兑换网点及数量信息.xls附件1:浦发银行冬奥币再次预约兑换网点及数量信息.xls附件1:浦发银行冬奥币再次预约兑换网点及数量信息.xls附件1:浦发银行冬奥币再次预约兑换网点及数量信息.xls附件1:浦发银行冬奥币再次预约兑换网点及数量信息.xls附件1:浦发银行冬奥币再次预约兑换网点及数量信息.xls
当前文档共12页 下载后继续阅读

附件1:浦发银行冬奥币再次预约兑换网点及数量信息.xls

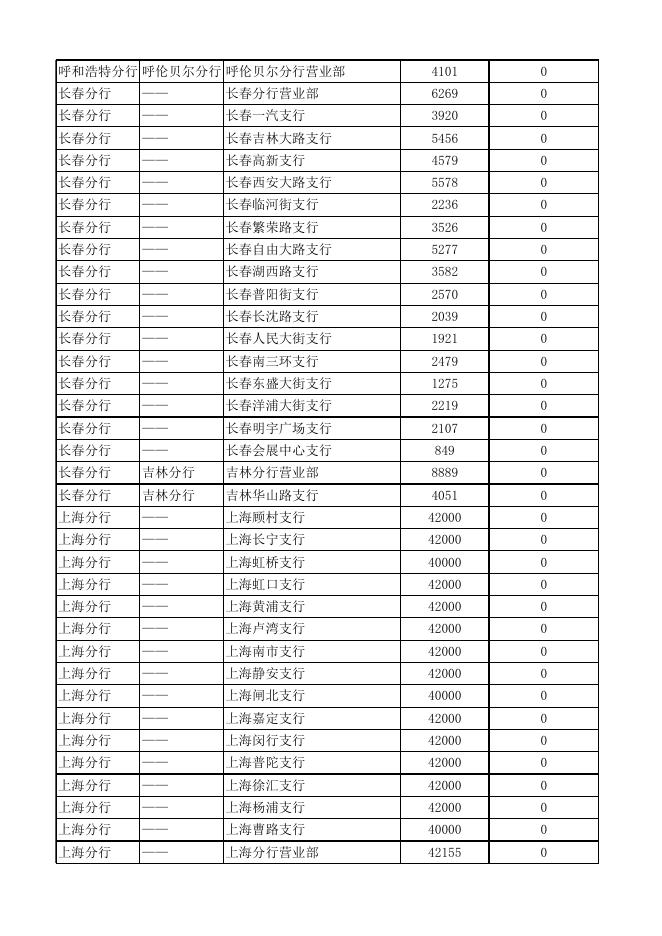
浦发银行冬奥币再次预约兑换网点及数量信息 一级分行 二级分行 网点名称 预约额度信息 网上预约额度 网点现场预约额 度 6292 0 天津分行 —— 天津分行营业部 天津分行 —— 天津浦德支行 6200 0 天津分行 —— 天津浦诚支行 6200 0 天津分行 —— 天津浦和支行 6200 0 天津分行 —— 天津浦顺支行 6200 0 天津分行 —— 天津浦悦支行 6200 0 天津分行 —— 天津浦昭支行 6200 0 天津分行 —— 天津浦欣支行 6200 0 天津分行 —— 天津浦江支行 6200 0 天津分行 —— 天津浦安支行 6200 0 天津分行 —— 天津浦祥支行 6200 0 天津分行 —— 天津浦嘉支行 6200 0 天津分行 —— 天津浦信支行 6200 0 天津分行 —— 天津浦泰支行 6200 0 天津分行 —— 天津浦昌支行 6200 0 天津分行 —— 天津浦瑞支行 6100 0 天津分行 —— 天津浦隆支行 6100 0 天津分行 —— 天津浦智支行 6100 0 太原分行 —— 太原分行营业部 8281 0 太原分行 —— 太原亲贤街支行 6000 0 太原分行 —— 太原丽华苑支行 6000 0 太原分行 —— 太原北大街支行 6000 0 太原分行 —— 太原南中环街支行 6000 0 太原分行 长治分行 长治分行营业部 3646 0 太原分行 忻州分行 忻州支行营业部 8122 0 太原分行 运城分行 运城分行营业部 3836 0 太原分行 朔州分行 朔州分行鄯阳支行 4336 0 太原分行 晋城分行 晋城分行营业部 5907 0 太原分行 晋中分行 晋中分行营业部 3298 0 呼和浩特分行 呼和浩特分行营业部 40239 0 呼和浩特分行 包头分行 包头分行营业部 17077 0 11490 0 呼和浩特分行 鄂尔多斯分行 鄂尔多斯分行营业部 呼和浩特分行 呼伦贝尔分行 呼伦贝尔分行营业部 4101 0 长春分行 —— 长春分行营业部 6269 0 长春分行 —— 长春一汽支行 3920 0 长春分行 —— 长春吉林大路支行 5456 0 长春分行 —— 长春高新支行 4579 0 长春分行 —— 长春西安大路支行 5578 0 长春分行 —— 长春临河街支行 2236 0 长春分行 —— 长春繁荣路支行 3526 0 长春分行 —— 长春自由大路支行 5277 0 长春分行 —— 长春湖西路支行 3582 0 长春分行 —— 长春普阳街支行 2570 0 长春分行 —— 长春长沈路支行 2039 0 长春分行 —— 长春人民大街支行 1921 0 长春分行 —— 长春南三环支行 2479 0 长春分行 —— 长春东盛大街支行 1275 0 长春分行 —— 长春洋浦大街支行 2219 0 长春分行 —— 长春明宇广场支行 2107 0 长春分行 —— 长春会展中心支行 849 0 长春分行 吉林分行 吉林分行营业部 8889 0 长春分行 吉林分行 吉林华山路支行 4051 0 上海分行 —— 上海顾村支行 42000 0 上海分行 —— 上海长宁支行 42000 0 上海分行 —— 上海虹桥支行 40000 0 上海分行 —— 上海虹口支行 42000 0 上海分行 —— 上海黄浦支行 42000 0 上海分行 —— 上海卢湾支行 42000 0 上海分行 —— 上海南市支行 42000 0 上海分行 —— 上海静安支行 42000 0 上海分行 —— 上海闸北支行 40000 0 上海分行 —— 上海嘉定支行 42000 0 上海分行 —— 上海闵行支行 42000 0 上海分行 —— 上海普陀支行 42000 0 上海分行 —— 上海徐汇支行 42000 0 上海分行 —— 上海杨浦支行 42000 0 上海分行 —— 上海曹路支行 40000 0 上海分行 —— 上海分行营业部 42155 0 上海分行 —— 上海唐镇支行 40000 0 上海分行 —— 上海金桥支行 42000 0 上海分行 —— 上海陆家嘴支行 42000 0 上海分行 —— 上海南汇支行 40000 0 上海分行 —— 上海三林支行 42000 0 上海分行 —— 上海外高桥保税区支行 40000 0 上海分行 —— 上海张江科技支行 40000 0 上海分行 —— 上海奉贤支行 40000 0 南京分行 —— 南京分行营业部 35801 0 南京分行 —— 南京新街口支行 2000 0 南京分行 —— 南京建邺支行 2000 0 南京分行 —— 南京城北支行 2000 0 南京分行 —— 南京江宁支行 2000 0 南京分行 —— 南京秦淮支行 2000 0 南京分行 —— 南京溧水支行 2000 0 南京分行 —— 南京高淳支行 2000 0 南京分行 —— 南京江北支行 2000 0 南京分行 徐州分行 徐州分行营业部 60672 0 南京分行 泰州分行 泰州分行营业部 6011 0 南京分行 淮安分行 淮安分行营业部 17693 0 南京分行 盐城分行 盐城分行营业部 10565 0 南京分行 盐城分行 盐城城中支行 10000 0 南京分行 扬州分行 扬州分行营业部 4675 0 南京分行 扬州分行 扬州仪征支行 849 0 南京分行 扬州分行 扬州江都支行 1733 0 南京分行 连云港分行 连云港分行营业部 9324 0 南京分行 宿迁分行 宿迁分行营业部 12230 0 南京分行 镇江分行 镇江分行营业部 6092 0 南京分行 镇江分行 镇江丹阳支行 2000 0 南京分行 镇江分行 镇江扬中支行 2000 0 南京分行 镇江分行 镇江句容支行 2000 0 南京分行 常州分行 常州金坛支行 1000 0 南京分行 常州分行 常州新北支行 2000 0 南京分行 常州分行 常州武进支行 2000 0 南京分行 常州分行 常州分行营业部 15707 0 南京分行 无锡分行 无锡永乐支行 3000 0 南京分行 无锡分行 无锡宜兴支行 3000 0 南京分行 无锡分行 无锡梅村支行 3000 0 南京分行 无锡分行 无锡分行营业部 6877 0 南京分行 南通分行 南通海门支行 2000 0 南京分行 南通分行 南通分行营业部 41682 0 南京分行 江阴支行 江阴支行营业部 13509 0 苏州分行 —— 苏州分行营业部 3328 0 苏州分行 —— 1277 0 苏州分行 —— 苏州高新技术产业开发区支 行 苏州工业园区支行 589 0 苏州分行 —— 苏州沧浪支行 830 0 苏州分行 —— 苏州金阊支行 746 0 苏州分行 —— 昆山支行营业部 1635 0 苏州分行 —— 苏州吴中支行 889 0 苏州分行 —— 常熟支行营业部 1388 0 苏州分行 —— 苏州相城支行 697 0 苏州分行 —— 张家港支行营业部 1204 0 苏州分行 —— 太仓支行营业部 1409 0 苏州分行 —— 吴江支行营业部 1330 0 苏州分行 —— 苏州姑苏支行 1525 0 郑州分行 —— 郑州大学路支行 6000 0 郑州分行 —— 郑州健康路支行 10000 0 郑州分行 —— 郑州紫荆山路支行 6000 0 郑州分行 —— 郑州东明支行 1000 0 郑州分行 —— 郑州金水支行 5000 0 郑州分行 —— 郑州文化路支行 10000 0 郑州分行 —— 郑州建西支行 10000 0 郑州分行 —— 郑州花园路支行 4000 0 郑州分行 —— 郑州明理路支行 1000 0 郑州分行 —— 郑州经三路支行 6000 0 郑州分行 —— 郑州百花路支行 10000 0 郑州分行 —— 郑州21世纪支行 4000 0 郑州分行 —— 郑州高新区支行 2000 0 郑州分行 —— 郑州商鼎路支行 1000 0 郑州分行 —— 郑州郑东新区支行 1000 0 郑州分行 —— 郑州分行营业部 20037 0 郑州分行 —— 郑州国基路支行 2000 0 郑州分行 —— 郑州东风支行 1000 0 郑州分行 —— 郑州长江路支行 2000 0 郑州分行 —— 郑州未来路支行 5000 0 郑州分行 —— 郑州郑港六路支行 1400 0 郑州分行 —— 郑州经开第八大街支行 1000 0 郑州分行 —— 郑州月湖南路支行 1000 0 郑州分行 新乡支行 新乡支行营业部 10982 0 郑州分行 洛阳分行 洛阳分行营业部 8943 0 郑州分行 许昌分行 许昌分行营业部 15558 0 郑州分行 开封分行 开封分行营业部 8905 0 郑州分行 安阳分行 安阳分行营业部 9792 0 郑州分行 商丘分行 商丘分行营业部 12090 0 郑州分行 南阳分行 南阳分行营业部 15063 0 郑州分行 信阳分行 信阳分行营业部 19355 0 武汉分行 —— 武汉洪山支行 20000 0 武汉分行 —— 武汉东湖高新支行 5000 0 武汉分行 —— 武汉硚口支行 5000 0 武汉分行 —— 武汉沌口支行 4486 0 武汉分行 宜昌分行 宜昌分行营业部 10512 0 武汉分行 荆州分行 荆州分行营业部 11761 0 武汉分行 孝感分行 孝感分行营业部 1521 0 武汉分行 襄阳分行 襄阳分行营业部 0 0 长沙分行 长沙分行营业部 3373 6845 长沙分行 长沙开福支行 7000 0 长沙分行 长沙麓谷科技支行 7000 0 长沙分行 长沙宁乡支行 2487 0 长沙分行 郴州分行 郴州分行营业部 2128 0 长沙分行 湘潭分行 湘潭分行营业部 1619 0 长沙分行 衡阳分行 衡阳分行营业部 4293 0 长沙分行 岳阳分行 岳阳分行营业部 15817 0 长沙分行 株洲分行 株洲分行营业部 1563 0 深圳分行 —— 深圳分行营业部 5161 0 深圳分行 —— 深圳龙华支行 10833 0 深圳分行 —— 深圳龙岗支行 4621 0 深圳分行 —— 深圳坪山支行 13116 0 深圳分行 —— 深圳宝安支行 8555 0 深圳分行 —— 深圳益田支行 5604 0 深圳分行 —— 深圳中心区支行 5680 0 深圳分行 —— 深圳科苑支行 8145 0 南宁分行 —— 南宁分行营业部 14232 0 南宁分行 柳州分行 柳州分行营业部 3030 0 南宁分行 桂林分行 桂林分行营业部 3413 0 海口分行 —— 海口分行营业部 3139 0 海口分行 三亚分行 三亚分行营业部 1451 0 西宁分行 —— 西宁分行营业部 3443 0 西宁分行 —— 西宁分行城西支行 1300 0 西宁分行 —— 西宁分行城东支行 1300 0 西宁分行 —— 西宁分行万达广场支行 1300 0 西宁分行 —— 西宁分行城中支行 1300 0 银川分行 —— 银川分行营业部 6361 0 银川分行 —— 银川天鹅湖支行 3152 0 银川分行 —— 银川金凤支行 3288 0 银川分行 —— 银川兴庆府支行 3710 0 银川分行 —— 银川西夏支行 3901 0 信息 单位:套 额度信息 预约额度合计 6292 6200 6200 6200 6200 6200 6200 6200 6200 6200 6200 6200 6200 6200 6200 6100 6100 6100 8281 6000 6000 6000 6000 3646 8122 3836 4336 5907 3298 40239 17077 11490 4101 6269 3920 5456 4579 5578 2236 3526 5277 3582 2570 2039 1921 2479 1275 2219 2107 849 8889 4051 42000 42000 40000 42000 42000 42000 42000 42000 40000 42000 42000 42000 42000 42000 40000 42155 40000 42000 42000 40000 42000 40000 40000 40000 35801 2000 2000 2000 2000 2000 2000 2000 2000 60672 6011 17693 10565 10000 4675 849 1733 9324 12230 6092 2000 2000 2000 1000 2000 2000 15707 3000 3000 3000 6877 2000 41682 13509 3328 1277 589 830 746 1635 889 1388 697 1204 1409 1330 1525 6000 10000 6000 1000 5000 10000 10000 4000 1000 6000 10000 4000 2000 1000 1000 20037 2000 1000 2000 5000 1400 1000 1000 10982 8943 15558 8905 9792 12090 15063 19355 20000 5000 5000 4486 10512 11761 1521 3373 6845 7000 7000 2487 2128 1619 4293 15817 1563 5161 10833 4621 13116 8555 5604 5680 8145 14232 3030 3413 3139 1451 3443 1300 1300 1300 1300 6361 3152 3288 3710 3901

相关文章