秦岭文库(kunmingchi.com)你想要的内容这里独有!

附件:浦发银行建党币预约兑换网点及数量信息.xls

时光停在你眼里╮8 页 55 KB下载文档
附件:浦发银行建党币预约兑换网点及数量信息.xls附件:浦发银行建党币预约兑换网点及数量信息.xls附件:浦发银行建党币预约兑换网点及数量信息.xls附件:浦发银行建党币预约兑换网点及数量信息.xls附件:浦发银行建党币预约兑换网点及数量信息.xls附件:浦发银行建党币预约兑换网点及数量信息.xls
当前文档共8页 下载后继续阅读

附件:浦发银行建党币预约兑换网点及数量信息.xls

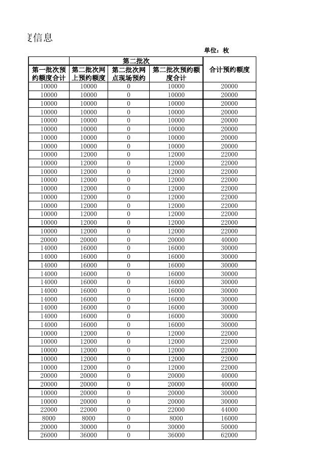
浦发银行建党币预约兑换网点及额度信息 一级分行 二级分行 天津分行 —— 天津分行 —— 天津分行 —— 天津分行 —— 天津分行 —— 天津分行 —— 天津分行 —— 天津分行 —— 天津分行 —— 天津分行 —— 天津分行 —— 天津分行 —— 天津分行 —— 天津分行 —— 天津分行 —— 天津分行 —— 天津分行 —— 天津分行 —— 太原分行 —— 太原分行 —— 太原分行 —— 太原分行 —— 太原分行 —— 太原分行 长治分行 太原分行 忻州支行 太原分行 运城分行 太原分行 朔州分行 太原分行 晋城分行 太原分行 晋中分行 呼和浩特分行 —— 呼和浩特分行 —— 呼和浩特分行 —— 呼和浩特分行 —— 呼和浩特分行 —— 呼和浩特分行 包头分行 呼和浩特分行 包头分行 呼和浩特分行 包头分行 呼和浩特分行 包头分行 呼和浩特分行 鄂尔多斯分行 呼和浩特分行 鄂尔多斯分行 呼和浩特分行 呼伦贝尔分行 长春分行 —— 第一批次 网点名称 第一批次网上 第一批次网点现 预约额度 场预约额度 天津分行营业部 10000 0 天津浦德支行 10000 0 天津浦诚支行 10000 0 天津浦和支行 10000 0 天津浦顺支行 10000 0 天津浦悦支行 10000 0 天津浦昭支行 10000 0 天津浦欣支行 10000 0 天津浦江支行 10000 0 天津浦安支行 10000 0 天津浦祥支行 10000 0 天津浦嘉支行 10000 0 天津浦信支行 10000 0 天津浦泰支行 10000 0 天津浦昌支行 10000 0 天津浦瑞支行 10000 0 天津浦隆支行 10000 0 天津浦智支行 10000 0 太原分行营业部 20000 0 太原丽华苑支行 14000 0 太原南中环街支行 14000 0 太原亲贤街支行 14000 0 太原北大街支行 14000 0 长治分行营业部 14000 0 忻州支行营业部 14000 0 运城分行盐湖支行 14000 0 朔州分行营业部 14000 0 晋城分行营业部 14000 0 晋中分行营业部 14000 0 呼和浩特分行营业部 10000 0 呼和浩特兴安北路支行 10000 0 呼和浩特金桥支行 10000 0 呼和浩特大学东街支行 10000 0 呼和浩特锡林路支行 10000 0 包头分行营业部 20000 0 包头昆区支行 20000 0 包头稀土高新区支行 10000 0 包头东河支行 10000 0 鄂尔多斯分行营业部 22000 0 鄂尔多斯康巴什支行 8000 0 呼伦贝尔分行营业部 20000 0 长春分行营业部 26000 0 长春分行 长春分行 长春分行 长春分行 长春分行 长春分行 长春分行 长春分行 长春分行 长春分行 长春分行 长春分行 长春分行 合肥分行 合肥分行 合肥分行 合肥分行 合肥分行 合肥分行 合肥分行 合肥分行 合肥分行 合肥分行 合肥分行 合肥分行 合肥分行 南昌分行 南昌分行 南昌分行 南昌分行 南昌分行 南昌分行 南昌分行 郑州分行 郑州分行 郑州分行 郑州分行 郑州分行 郑州分行 郑州分行 郑州分行 郑州分行 郑州分行 郑州分行 郑州分行 郑州分行 郑州分行 郑州分行 —— —— —— —— —— —— —— —— —— 吉林分行 吉林分行 吉林分行 吉林分行 —— —— —— 芜湖分行 芜湖分行 马鞍山支行 宣城分行 铜陵支行 蚌埠分行 安庆分行 淮南分行 滁州分行 阜阳分行 —— —— 九江分行 赣州分行 上饶分行 宜春分行 吉安分行 —— —— —— —— —— —— —— —— —— —— —— —— —— —— —— 长春一汽支行 长春临河街支行 长春高新支行 长春人民大街支行 长春北湖支行 长春东盛大街支行 长春南湖大路支行 长春明宇广场支行 长春会展中心支行 吉林分行营业部 吉林华山路支行 吉林解放北路支行 吉林泰山路支行 合肥分行营业部 合肥四牌楼支行 合肥政务新区支行 芜湖分行营业部 芜湖县支行 马鞍山支行营业部 宣城分行营业部 铜陵支行营业部 蚌埠分行营业部 安庆分行营业部 淮南分行营业部 滁州丰乐亭支行 阜阳分行营业部 南昌分行营业部 南昌物华支行 九江分行营业部 赣州分行营业部 上饶分行营业部 宜春分行营业部 吉安分行营业部 郑州大学路支行 郑州健康路支行 郑州紫荆山路支行 郑州金水支行 郑州文化路支行 郑州建西支行 郑州花园路支行 郑州明理路支行 郑州经三路支行 郑州百花路支行 郑州21世纪支行 郑州高新区支行 郑州郑东新区支行 郑州分行营业部 郑州国基路支行 20000 20000 20000 8000 8000 8000 8000 8000 8000 22000 4000 4000 4000 16000 5000 5000 20000 0 10000 4000 6000 8000 5000 12000 12000 10000 12000 16000 10000 10000 10000 2000 10000 14000 14000 14000 14000 14000 14000 14000 8000 15000 14000 14000 14000 8000 30000 8000 0 0 0 0 0 0 0 0 0 0 0 0 0 0 0 0 0 0 0 0 0 0 0 0 0 0 0 0 0 0 0 0 0 0 0 0 0 0 0 0 0 0 0 0 0 0 0 0 郑州分行 郑州分行 郑州分行 郑州分行 郑州分行 郑州分行 郑州分行 郑州分行 郑州分行 郑州分行 郑州分行 郑州分行 郑州分行 武汉分行 武汉分行 武汉分行 武汉分行 武汉分行 武汉分行 武汉分行 武汉分行 武汉分行 武汉分行 武汉分行 长沙分行 长沙分行 长沙分行 长沙分行 长沙分行 长沙分行 长沙分行 长沙分行 长沙分行 深圳分行 深圳分行 深圳分行 深圳分行 深圳分行 深圳分行 深圳分行 深圳分行 南宁分行 南宁分行 南宁分行 南宁分行 南宁分行 南宁分行 南宁分行 —— —— —— —— —— 新乡支行 洛阳分行 许昌分行 开封分行 安阳分行 商丘分行 南阳分行 信阳分行 —— —— —— —— —— —— —— 宜昌分行 荆州分行 孝感分行 襄阳分行 —— —— —— —— 郴州分行 衡阳分行 株洲分行 湘潭分行 岳阳分行 —— —— —— —— —— —— —— —— —— —— —— —— —— 桂林分行 柳州分行 郑州东风支行 郑州长江路支行 郑州未来路支行 郑州经开第八大街支行 郑州月湖南路支行 新乡支行营业部 洛阳分行营业部 许昌分行营业部 开封分行营业部 安阳分行营业部 商丘分行营业部 南阳分行营业部 信阳分行营业部 武汉分行营业部 武汉沿江支行 武汉武昌支行 武汉洪山支行 武汉东湖高新支行 武汉硚口支行 武汉青山支行 宜昌分行营业部 荆州分行营业部 孝感分行营业部 襄阳分行营业部 长沙分行营业部 长沙麓谷科技支行 长沙开福支行 长沙宁乡支行 郴州分行营业部 衡阳分行营业部 株洲分行营业部 湘潭分行营业部 岳阳分行营业部 深圳分行营业部 深圳龙华支行 深圳龙岗支行 深圳坪山支行 深圳宝安支行 深圳益田支行 深圳中心区支行 深圳科苑支行 南宁分行营业部 南宁桃源支行 南宁东葛支行 南宁民主支行 南宁江南支行 桂林分行营业部 柳州分行营业部 5000 8000 12000 8000 8000 25000 25000 25000 25000 25000 10000 25000 25000 25000 5000 5000 20000 5000 5000 5000 20000 10000 14000 10000 9000 5400 9000 3000 3600 10000 2000 3600 10000 9000 9000 9000 9000 9000 9000 9000 9000 16000 4000 4000 8000 8000 9500 20000 0 0 0 0 0 0 0 0 0 0 0 0 0 0 0 0 0 0 0 0 0 0 0 0 0 2600 0 0 400 0 0 400 0 2000 2000 2000 0 0 0 2000 0 0 0 0 0 0 500 0 海口分行 海口分行 西安分行 西安分行 西安分行 西安分行 西安分行 西安分行 西安分行 西安分行 西安分行 西安分行 西安分行 西安分行 西安分行 西安分行 西安分行 西安分行 西宁分行 —— 三亚分行 —— —— —— —— —— —— —— —— —— —— —— 咸阳分行 渭南分行 宝鸡分行 宝鸡分行 榆林分行 海口分行营业部 三亚分行营业部 西安分行营业部 西安西稍门支行 西安高新开发区支行 西安友谊东路支行 西安东关正街支行 西安长乐路支行 西安艺术大街支行 西安北大街支行 西安金滹沱一路支行 西安广场北路支行 西安广运潭西路支行 咸阳分行营业部 渭南分行营业部 宝鸡分行营业部 宝鸡金台支行 榆林分行营业部 西宁分行营业部 8000 4000 0 10000 10000 10000 0 10000 10000 10000 10000 10000 10000 8000 8000 10400 4000 10800 10000 0 0 0 0 0 0 0 0 0 0 0 0 0 0 0 2600 1000 7200 0 点及额度信息 一批次 单位:枚 第二批次 第一批次预 第二批次网 第二批次网 第二批次预约额 约额度合计 上预约额度 点现场预约 度合计 额度 10000 10000 0 10000 10000 10000 0 10000 10000 10000 0 10000 10000 10000 0 10000 10000 10000 0 10000 10000 10000 0 10000 10000 10000 0 10000 10000 10000 0 10000 10000 12000 0 12000 10000 12000 0 12000 10000 12000 0 12000 10000 12000 0 12000 10000 12000 0 12000 10000 12000 0 12000 10000 12000 0 12000 10000 12000 0 12000 10000 12000 0 12000 10000 12000 0 12000 20000 20000 0 20000 14000 16000 0 16000 14000 16000 0 16000 14000 16000 0 16000 14000 16000 0 16000 14000 16000 0 16000 14000 16000 0 16000 14000 16000 0 16000 14000 16000 0 16000 14000 16000 0 16000 14000 16000 0 16000 10000 12000 0 12000 10000 12000 0 12000 10000 12000 0 12000 10000 12000 0 12000 10000 12000 0 12000 20000 20000 0 20000 20000 20000 0 20000 10000 20000 0 20000 10000 20000 0 20000 22000 22000 0 22000 8000 8000 0 8000 20000 30000 0 30000 26000 36000 0 36000 合计预约额度 20000 20000 20000 20000 20000 20000 20000 20000 22000 22000 22000 22000 22000 22000 22000 22000 22000 22000 40000 30000 30000 30000 30000 30000 30000 30000 30000 30000 30000 22000 22000 22000 22000 22000 40000 40000 30000 30000 44000 16000 50000 62000 20000 20000 20000 8000 8000 8000 8000 8000 8000 22000 4000 4000 4000 16000 5000 5000 20000 0 10000 4000 6000 8000 5000 12000 12000 10000 12000 16000 10000 10000 10000 2000 10000 14000 14000 14000 14000 14000 14000 14000 8000 15000 14000 14000 14000 8000 30000 8000 24000 24000 24000 10000 10000 10000 10000 10000 10000 24000 6000 6000 6000 14000 9000 9000 16000 4000 14000 6000 8000 10000 6000 14000 12000 10000 14000 20000 10000 12000 10000 2000 10000 14000 14000 14000 14000 14000 14000 14000 8000 15000 14000 14000 14000 8000 30000 8000 0 0 0 0 0 0 0 0 0 0 0 0 0 0 0 0 0 0 0 0 0 0 0 0 0 0 0 0 0 0 0 0 0 0 0 0 0 0 0 0 0 0 0 0 0 0 0 0 24000 24000 24000 10000 10000 10000 10000 10000 10000 24000 6000 6000 6000 14000 9000 9000 16000 4000 14000 6000 8000 10000 6000 14000 12000 10000 14000 20000 10000 12000 10000 2000 10000 14000 14000 14000 14000 14000 14000 14000 8000 15000 14000 14000 14000 8000 30000 8000 44000 44000 44000 18000 18000 18000 18000 18000 18000 46000 10000 10000 10000 30000 14000 14000 36000 4000 24000 10000 14000 18000 11000 26000 24000 20000 26000 36000 20000 22000 20000 4000 20000 28000 28000 28000 28000 28000 28000 28000 16000 30000 28000 28000 28000 16000 60000 16000 5000 8000 12000 8000 8000 25000 25000 25000 25000 25000 10000 25000 25000 25000 5000 5000 20000 5000 5000 5000 20000 10000 14000 10000 9000 8000 9000 3000 4000 10000 2000 4000 10000 11000 11000 11000 9000 9000 9000 11000 9000 16000 4000 4000 8000 8000 10000 20000 5000 8000 12000 8000 8000 25000 25000 25000 25000 25000 10000 25000 25000 30000 10000 10000 23000 5000 5000 5000 0 10000 16000 10000 11000 8600 11000 2000 5400 10000 2000 3600 10000 17000 13000 13000 13000 13000 13000 13000 13000 24000 6000 6000 12000 12000 15200 20000 0 0 0 0 0 0 0 0 0 0 0 0 0 0 0 0 0 0 0 0 0 0 0 0 0 3400 0 0 600 0 0 400 0 3000 3000 3000 0 0 0 3000 0 0 0 0 0 0 800 0 5000 8000 12000 8000 8000 25000 25000 25000 25000 25000 10000 25000 25000 30000 10000 10000 23000 5000 5000 5000 0 10000 16000 10000 11000 12000 11000 2000 6000 10000 2000 4000 10000 20000 16000 16000 13000 13000 13000 16000 13000 24000 6000 6000 12000 12000 16000 20000 10000 16000 24000 16000 16000 50000 50000 50000 50000 50000 20000 50000 50000 55000 15000 15000 43000 10000 10000 10000 20000 20000 30000 20000 20000 20000 20000 5000 10000 20000 4000 8000 20000 31000 27000 27000 22000 22000 22000 27000 22000 40000 10000 10000 20000 20000 26000 40000 8000 4000 0 10000 10000 10000 0 10000 10000 10000 10000 10000 10000 8000 8000 13000 5000 18000 10000 8000 4000 20000 10000 10000 10000 10000 10000 10000 0 10000 10000 10000 12000 12000 11200 6400 13200 10000 0 0 0 0 0 0 0 0 0 0 0 0 0 0 0 2800 1600 8800 0 8000 4000 20000 10000 10000 10000 10000 10000 10000 0 10000 10000 10000 12000 12000 14000 8000 22000 10000 16000 8000 20000 20000 20000 20000 10000 20000 20000 10000 20000 20000 20000 20000 20000 27000 13000 40000 20000

相关文章